当前位置:网站首页>PID 控制理论
PID 控制理论
2022-08-05 20:12:00 【2021 Nqq】
OUTput与INput区别
程序到引脚那就是,程序是output(理解成给予),从引脚到程序,程序就是intput(理解成获取)
问题背景
速度信息可以以m/s为单位,或者也可以转换成转速 r/s,而电机的转速是由PWM脉冲宽度来控制的,如何根据速度信息量化成合适的PWM值呢?
PWM解释
例如控制LED灯亮度
PWM:脉冲宽度调制技术,设置占空比为LED间歇性供电,PWM的取值范围是[0,255]
0——low,255——high
假设是PWM = 50,high比例是 50/255 约等于1/5,low比例约是4/5
假设是PWM = 100,high比例是 100/255 约等于2/5,low比例约是3/5
亮度多少就是通过设置的数字与255相除,然后计算出来百分比
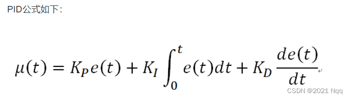
PID

- e(t)作为 PID 控制的输入
- u(t)作为 PID 控制器的输出和被控对象的输入
- Kp 控制器的比例系数
- Ki控制器的积分时间,也称积分系数
- Kd控制器的微分时间,也称微分系数

积分调节

目标速度为100Km/h,假设P为2,初始速度为0
步骤1:PWM = 2*(100-0) = 200,即油门加到200,加到120时,测下速度。
步骤2:PWM = 2*(100-120) = -40,油门给到0,让汽车减速,减到60,测下速度。
步骤3:PWM = 2*(100-60) = 80,油门给到80,油门加到75,测下速度。
步骤4:PWM = 2*(100-75) = 50,油门给到50,测下速度
依次类推

设置油门与速度比为1:1

由此可知,使用比例调节永远不能达到目标值,只能无限接近
积分调节


微分调节


使用PID控制小车转速 motor04_pid
/* * PID代码实现: * 准备工作: 复制之前的测速代码 + 控制电机转动的代码 + PID库安装成功 * 修改: * 1. 修改测速的单位时间(50) * 2. 添加电机转向的PWM控制引脚 * * 步骤: * 1. 包含头文件 * 2. 创建PID对象 * 3. setUp中启用PID对象 * 4. 调用 Compute() 输出控制电机的PWM值 */
/* * 实现脉冲计数 * * 流程: * 1.将使用的引脚封装为变量,封装计数变量 * 2.setup中设置引脚的操作模式(读取编码器相关引脚的输出信号INPUT),设置波特率(结果输出到上位机) * 3.为引脚添加中断事件 * 4.计数逻辑实现 * 5.要输出到上位机 */
#include<PID_v1.h>
// 1.将使用的引脚封装为变量,封装计数变量
int encoder_A = 21;// 中断口2
int encoder_B = 20;// 中断口3
volatile int count = 0;
int DIR_LEFT = 4;// 控制转向
int PWM_LEFT = 5;// 控制PWM
// 左电机的M1与M2对应的是引脚4(DIRA)和引脚5(PWMA),引脚4控制转向,引脚5输出PWM
// 右电机的M1与M2对应的是引脚6(PWMB)和引脚7(DIRB),引脚7控制转向,引脚6输出PWM
// 4.计数逻辑实现
void count_a(){
// 先判断A是否跳变到高电压
if(digitalRead(encoder_A) == HIGH){
// 再判断B的电压
if(digitalRead(encoder_B) == HIGH){
count ++;// 正转
} else {
count --;// 反转
}
} else {
// 再判断B的电压
if(digitalRead(encoder_B) == LOW){
count ++;// 正转
} else {
count --;// 反转
}
}
}
void count_b(){
if(digitalRead(encoder_B) == HIGH)
{
if(digitalRead(encoder_A) == LOW){
count ++;
} else {
count --;
}
}
else
{
if(digitalRead(encoder_A) == HIGH){
count ++;
} else {
count --;
}
}
}
// 测试流程:
/* * 1. 封装变量 --- 开始时间、单位时间、减速比、一圈输出的脉冲数、使用的N倍频测速 * 2. 实现逻辑 * 2.1 获取时间时间戳(当前时间) * 2.2 if(当前时间 - 开始时间 >= 单位时间){ * // 取消中断 * // 计算转速(count) * // count置零 * // 将开始时间重置为当前时间,进行重新测速 * // 重启中断 * } * */
long start_time = millis();//一个计算周期的开始时刻,初始值为millis();
int interval_time = 50;//一个计算周期 50ms
int per_round = 90 * 11 * 4;// 四倍频,90 的 减速比,电机转1圈是11个脉冲
double vel;
void get_current_vel(){
// 获取当前的时间
long right_now = millis();
// 判断逝去的时间是否大于单位时间
long past_time = right_now - start_time;
if(past_time >= interval_time){
// 取消中断,中断里面做着count++ 或者count--,取消中断不再做count++或者--的操作
noInterrupts();
// 计算转速(count),数据类型转换
// 转的圈数/时间*1000*60,将原来的r/ms转换成r/min
double vel = (double)count / per_round / past_time * 1000 * 60;
Serial.println(vel);
// count置零
count = 0;
// 将开始时间重置为当前时间,进行重新测速
start_time = right_now;
// 重启中断进行重新测速
interrupts();
}
}
/* * 参数1: 输入(当前转速) * 参数2: 输出(根据PID算法计算PWM值---油门) * 参数3: 目标值 * 参数4-6: PID系数值 * 参数7: DIRECT | REVERSE (后者的P、I、D值会取反) * */
double pwm;
double target = 80;
double Kp = 2, Ki = 5, Kd = 1;
PID pid(&vel,&pwm,&target,Kp,Ki,Kd,DIRECT);//PID对象
// 调速函数
void update_vel(){
// 调用测速函数
get_current_vel();
// 调用 Compute 函数生成 PWM 值
pid.Compute();
// 将 PWM 值写入电机
digitalWrite(DIR_LEFT,HIGH);
analogWrite(PWM_LEFT,pwm);
}
void setup() {
// put your setup code here, to run once:
// 设置波特率
Serial.begin(57600);
// 2.setup中设置引脚的操作模式(INPUT)
pinMode(encoder_A,INPUT);// 从引脚读数据
pinMode(encoder_B,INPUT);
pinMode(DIR_LEFT,4);
pinMode(PWM_LEFT,5);
// 3.为引脚添加中断函数
// 参数1: 中断口 参数2: 回调函数 参数3: 触发时机
// 单倍频或双倍频只需要为编码器的A相添加中断函数,CHANGE 当引脚电平发生改变时,触发中断
attachInterrupt(2,count_a,CHANGE);// 2对应的中断口是21,3对应的中断口是20
attachInterrupt(3,count_b,CHANGE);//当电平发生改变时触发中断函数
pid.SetMode(AUTOMATIC);// 自动
}
void loop() {
// put your main code here, to run repeatedly:
// delay(2000);
// Serial.println(count);
// get_current_vel();//获取当前速度,通过串口输出
delay(10);//每隔10ms调用
update_vel();// 调速
}
边栏推荐
- 【视频】复杂网络分析CNA简介与R语言对婚礼数据聚类(社区检测)和可视化|数据分享
- js json arr str 转化为arr
- [UiPath2022+C#] UiPathExcel and data table
- Rust Study Notes: 1.1 Introduction and Installation
- 【UiPath2022+C#】UiPathExcel 和数据表
- Rust学习笔记:3.1 变量与可变性
- SQL chargeback count
- 如何使用Solidity和Hardhat构建你自己的NFT以及NFT交易市场
- Rust study notes: 1.2 Two examples and common commands
- 张高兴的 .NET IoT 入门指南:(八)基于 GPS 的 NTP 时间同步服务器
猜你喜欢

The method of connecting to the local mysql8.0.30 database in the docker container

Detailed explanation of RAID disk array

攻防视角下,初创企业安全实战经验分享
![vi learning (1) [introduction/basic usage/work mode]](/img/9d/059c7679e60b2509ff5536040201aa.png)
vi learning (1) [introduction/basic usage/work mode]

【UiPath2022+C#】UiPathExcel 和数据表

方舟开服务器怎么开

IPv4和IPv6有什么区别

Redis-HyperLogLog

MySQL get month and quarter

住宅代理随用随付——小型项目的最佳选择
随机推荐
【ML】机器学习数据集:sklearn中回归数据集介绍
MySQL get month and quarter
LeetCode 0173.二叉搜索树迭代器:中序遍历的非递归实现
素数判断
2022新书 | 理解深度学习,巴斯大学教授Simon J.D. Prince撰著
27.移除元素-双指针法
151. Reverse words in string - double pointer method
IDEA使用问题-02 无法引入POM依赖
【Harmony OS】【ArkUI】ets开发 简易视频播放器
Taishan OFFICE Technical Lecture: According to the practice of WORD, the schematic diagram of the effect of shading and highlighting borders
C# implements the singleton pattern and implementation ideas
Rust学习笔记:1.1 简介与安装
codeforces: B. Maximum Xor Secondary【单调栈】
fastapi提供文件下载接口
SwiftUI case: 3D rotating picture player
Zhang Xing's .NET IoT Getting Started Guide: (8) GPS-based NTP Time Synchronization Server
【HMS core】【FAQ】Account、IAP、Location Kit and HarmonyOS典型问题合集1
波场Poloniex为行业首家支持ETH升级并上线潜在分叉币期货
PHP基础笔记-NO.3
【SVN】搭建一个代码版本控制器(SVN)