当前位置:网站首页>整流七 - 三相PWM整流器—公式推导篇
整流七 - 三相PWM整流器—公式推导篇
2022-08-09 00:09:00 【代码—0422】
此篇文章为了进一步理解三相pwm整流器,前期的四象限产品,以及仿真模型都没有彻底理解三相pwm整流器的数学模型,于是现在开始一步步推到整流器各个环节的数学公式。
三相PWM整流器拓扑结构

补充:三相 VSR 中,交流侧电感的设计尤为重要,起到升压和滤除谐波作用;桥式功率开关管连接网侧和直流侧,通过对开关管的控制实现能量流动方向控制;并联的二极管在开关管关断时,起到续流的作用;直流侧的储能电容是电压型 PWM 整流器的 标志,直流侧电容不仅可以滤除输出电压纹波,稳定输出电压,还可以滤除因为直流 母线电压 PWM 调制作用,在网侧电流中产生的谐波。该三部分器件的选型将直接决 定三相 VSR 系统稳定性和动态响应速度。
开关函数一般数学模型
三相PWM整流器等效开关模型:




坐标变换









由式 2.16 依据坐标变换,实现了三相坐标系交流控制变量到两相坐标系直流控 制变量的变换,有利于控制系统设计。下一章节,通过电流前馈解耦控制策略,实现 交流侧电流有功、无功分量的单独控制。
注意:
1.在坐标变换的过程中,唯一不变的就是电网角度wt始终没有变.,Park变换中的dq轴坐标是按照角速度w旋转,其中w就是输入电压角速度w
2.所以可以通过锁相将角度用在坐标变换的整个过程当中。
3.具体变换在软件中已有体现,可见下文锁相公式中
电流内环数学公式推导
在dq坐标系下,其数学模型可以描述如下:

将其化简可以推到出下面的公式:



由上述公式可以看出,电流内环可以输出电压参考值。Ualp和Ubelta。
电流解耦控制(pi控制)


电压外环数学公式推导
电压外环滑膜控制设计






电压外环PI控制设计



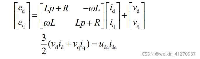
注解:根据交流测和直流侧功率相等,可以知道:
所以可以根据母线电压Udc的变化量求出交流测电感电流的值,提供给电流内环做参考。
单同步锁相环


其他锁相环
反正切锁相技术
在坐标变换中,只是变换了坐标,角度并没有改变。因此可以用反正切进行锁相求出当前拍的电网角度,在加上下一拍的角度增量,就可以锁住下一拍的角度,供使用
过零点锁相
过零点鉴相是一种较为简单的开环锁相方法,其基本原理是通过实时监测电网电压过零点和频率信息来跟踪电网电压的相位,进而实现锁相。
以一相电网电压为例,当电网电压经过电压互感器处理后,通过过零点检测电路实时检测电压过零点,并分别在电压正负半周及正负过零点发出正方波和正脉冲信号,提供给cpu作为电网电压的同步基准信号,是的系统实时跟踪电网电压频率的变化。
实现过零点鉴相必须满足两个条件:
1.信号的周期和采样周期成整数倍关系;
2.采样点的时间间隔应当保持严格一致性。
这种方法的原理和结构比较简单,但是由于电网电压每个周期只有两个过零点,这就限制了锁相环的锁相速度,而且电网电压本身的畸变以及检测电路的各种干扰信号可能会导致过零点难以准确地被检测,甚至在过零点处导致过零信号的震荡。另外在电网不平衡时,这种方法无法通过某一相过零点的信息获取电网电压正序分量的相位信息。
乘法器锁相
乘法器锁相的原理比较简单。
Vin = Vmsin(wt) ,其中wt为相位角度;
假设Vin 为电网一相,则可以通过sin(wt) = Vin/Vm得到电网角度的实时正弦值。
再通过乘法器乘以此值就可以实时跟踪电网相位。
双同步坐标系的解耦软件锁相环
注:还需要理解





二阶广义积分器的软件锁相环
边栏推荐
猜你喜欢
随机推荐
透明度混合-Blend
几种常见的开源软件许可协议(GPL, LGPL, Apache License, BSD)
Light-Head R-CNN 阅读笔记
凹凸映射Bump_Mapping
渐变纹理(光照渐变)
C#编写飞行棋游戏
纹理映射-TextureMapping
Canvas绘图基础知识
IDEA常用插件及代快捷键模板整理
轮流取石头游戏
Why software development methodology make you feel bad?
Win10安装 pycocotools
Idea碰到的问题总结
Mysql Workbench用.sql文件将数据导入数据库
穿越派·派盘V3.14发版啦!
sessionStorage值改变后,页面利用window.sessionStorage.getItem()获取到的值不会更新
2017年10月历史文章汇总
穿越派·派盘(WebDAV)解决OmniFocus同步问题
2020-10-17
如何使用电脑云盘?









