当前位置:网站首页>Week 7 Learning Representation with Auto-Encoder (Unsupervised Learning)
Week 7 Learning Representation with Auto-Encoder (Unsupervised Learning)
2022-08-06 11:55:00 【Golden State Hungry】
目录
1、KL距离(Kullback-Leibler Divergence)
2、交叉熵(Cross-entropy (CE) divergence)
二、PCA(Principal components analysis-主成分分析法)- 用来降维
一、基础知识
1、KL距离(Kullback-Leibler Divergence)
(1)定义:
KL距离,是Kullback-Leibler差异(Kullback-Leibler Divergence)的简称,也叫做相对熵(Relative Entropy).It measures the difference between two probability distributions in the same event space.Not a distance measure,其物理意义是:in the same event space,概率分布P(x)corresponding to each event,If using probability distribution Q(x)编码时,Average each base event(符号)How many bits to increase the code length.
(2)公式
- between discrete random variablesKL散度

- 连续随机变量 之间的KL散度

- between multivariate Gaussian distributionsKL散度




(3) KLUse of distance
- Measures the difference between two probability distributions.
- The measure utilizes a probability distributionQ Fit a probability distributionP energy loss at the time,That is to say, how much information is lost after fitting.
- Measures the similarity of two probability distributions,在运动捕捉里面可以衡量未添加标签的运动与已添加标签的运动,进而进行运动的分类.
2、交叉熵(Cross-entropy (CE) divergence)
(1)One-dimensional cross entropy

(2)Two-dimensional cross-entropy

二、PCA(Principal components analysis-主成分分析法)- 用来降维
1、定义
主成分分析(Principal Component Analysis,PCA)是一种常见的线性降维方法,Widely used in image processing、人脸识别、数据压缩、Signal denoising and other fields.
2、原理
- Let the original data size be N × M,经过PCA降维The size of the data after is N × K,其中 K < M.
- PCA的中心思想是:Project high-dimensional data into a low-dimensional space with maximum variance,Just project the data to the lower dimension with the highest variance(K维)Just in space.
3、PCA执行步骤
(1)Find the average of each dimension separately,然后对于所有的样例,Both subtract the mean of the corresponding dimension,Get decentralized data;
(2)求协方差矩阵C:Multiply the decentralized data matrix by its transpose,然后除以(N-1)即可,N为样本数量;
(3)求协方差的特征值和特征向量;
(4)将特征值按照从大到小排序,选择前k个,然后将其对应的k个特征向量分别作为列向量组成特征向量矩阵;
(5)Projects the sample points from the original dimension to the selected onek个特征向量,Get low-dimensional data;
(6)通过逆变换,Reconstruct low-dimensional data,进行复原.
4、PCA实例求解
- 步骤1:数据去中心化:

- 步骤2:计算协方差矩阵:

- 步骤3:对协方差矩阵进行奇异值分解:(Also a similar diagonalization of a matrix)

- 步骤4:取最大的 K The eigenvalues and eigenvectors form a transformation matrix PK (取 K = 1)

- 步骤5:Project the raw data to K 维空间:

- The projected line of the final result is shown in the figure:

三、Auto-Encoder
1、定义
自编码器(autoencoder, AE)是一类在半监督学习和非监督学习中使用的人工神经网络(Artificial Neural Networks, ANNs),其功能是通过将输入信息作为学习目标,对输入信息进行表征学习(representation learning).如果算法把x作为监督信号来学习,这里算法称为自监督学习(Self-supervised Learning).特征降维(Dimensionality Reduction)在机器学习中有广泛的应用, 比如文件压缩(Compression)、 数据预处理(Preprocessing)等. 最常见的降维算法有主成分分析法(Principal components analysis, 简称 PCA),通过对协方差矩阵进行特征分解而得到数据的主要成分,但是 PCA 本质上是一种线性变换,提取特征的能力极为有限.
利用神经网络的强大非线性表达能力去学习到低维的数据表示,但是训练神经网络一般需要一个显式的标签数据(或监督信号),但是无监督的数据没有额外的标注信息,只有数据𝒙本身.利用数据𝒙本身作为监督信号来指导神经网络的训练,即希望神经网络能够学习到映射
: 𝒙 → 𝒙.

Divide the network into two parts,前面的子网络尝试学习映射关系:: 𝒙 → 𝒛,后面的子网络尝试学习映射关系: 𝒛 → 𝒙. 把
看成一个数据编码(Encode)的过程,把高维度的输入𝒙编码成低维度的隐变量𝒛(Latent Variable,或隐藏变量),称为 Encoder 网络(编码器);
See as data decoding(Decode)的过程,把编码过后的输入𝒛解码为高维度的𝒙, 称为 Decoder 网络(解码器).
2、多种自编码器
(1)Deep Auto-encoder
编码器和解码together to complete the input data𝒙的编码和解码过程,把整个网络模型
叫做自动编码器(Auto-Encoder),简称自编码器. 如果使用深层神经网络来参数化
和
函数, 则称为深度自编码器(Deep Auto-encoder).

自编码器能够将输入变换到隐藏向量𝒛,并通过解码器重建(Reconstruct,或恢复)出𝒙.解码器的输出能够完美地或者近似恢复出原来的输入,即𝒙 ≈ 𝒙,
自编码器的优化目标:
, dist(𝒙,
)表示 𝒙和
的距离度量,称为Reconstruct the error function. 常见的度量方法有欧氏距离的平方,计算方法如下:(
distance)

它和均方误差原理上是等价的.
We can also express it in terms of cross entropyReconstruct the error function:

自编码器网络和普通的神经网络并没有本质的区别, 只是训练的监督信号由标签𝒚变成了自身𝒙. 借助于深层神经网络的非线性特征提取能力, 自编码器可以获得良好的数据表示,相对于 PCA 等线性方法,自编码器性能更加优秀, Even more perfect recoveryx.When the decoder is linear and a mean squared error loss is used,This is the same as principal component analysis (PCA) 相同.
(2)Overcomplete Auto-Encoder(Overcomplete autoencoding)
过完备 AE is the underlying codez维度 𝑚 greater than the input dimension d.in incomplete AE 中,𝑚 < 𝑑,So the code can learn the salient features of the data.

(3)Sparse Auto-Encoder(SAE-稀疏自编码)
- 稀疏自编码器Simply incorporate the sparsity penalty of the encoding layer at training time Ω(h) 和重构误差:L(x,g(f(x))) + Ω(h),其中 g(h) 是解码器的输出,通常 h 是编码器的输出,即 h = f(x).Sparse autoencoders are generally used to learn features,以便用于像分类这样的任务.稀疏正则化的自编码器必须反映训练数据集的独特统计特征,而不是简单地充当恒等函数.以这种方式训练,Performing a replication task with a sparsity penalty results in a model that learns useful features.
- 稀疏惩罚 Ω(h)的方式:

(4)Contractive Auto-Encoder(CAE-收缩自编码)
- The goal of shrinking autoencoders is to reduce the sensitivity of the representation to the training input data. 为了实现这一点,in the autoencoderAdd a regularization or penalty term to the loss function you are trying to minimize.

因此,The training resists perturbation of the input by minimizing the gradient magnitude of the encoder𝑓.
- Systolic autoencoders usually exist only as a few other autoencoder nodes.Denoising autoencoders make the reconstruction function resistant to small but finite-sized perturbations of the input,The systolic autoencoder, on the other hand, makes the feature extraction function resistant to infinitesimal perturbations of the input.
(5)Denoising Auto-Encoder(DAE-降噪自编码)
- This type of autoencoderWorks with partially broken inputs,and trained to restore the original undistorted image.
- The goal is that the network will be able to reproduce the original version of the image.By comparing the corrupted data with the original data,The network can learn which features of the data are most important,哪些特征不重要/损坏.换句话说,In order for the model to denoise the corrupted image,It has to extract important features of image data.
- 为了防止神经网络记忆住输入数据的底层特征, Denoising Auto-Encoders Add random noise perturbations to the input data,如给输入𝒙添加采样自高斯分布的噪声𝜀:
,添加噪声后,网络需要从
学习到数据的真实隐藏变量 z,并还原出原始的输入𝒙.

(6)Variational Auto-Encoder (VAE)(变分自编码器)- 重点
基本的自编码器本质上是学习输入𝒙和隐藏变量𝒛之间映射关系, 它是一个判别模型(Discriminative model),并不是生成模型(Generative model).
变分自编码器(Variational AutoEncoders,VAE):给定隐藏变量的分布P(𝒛), How to learn conditional probability distributionsP(𝒙|𝒛), 则通过对联合概率分布P(𝒙, 𝒛) = P(𝒙|𝒛)P(𝒛)进行采样, 生成不同的样本:

从神经网络的角度来看, VAE 相对于自编码器模型,同样具有编码器和解码器两个子网络.解码器接受输入𝒙, 输出为隐变量𝒛;解码器负责将隐变量𝒛解码为重建的𝒙. 不同的是, VAE 模型对隐变量𝒛的分布有显式地约束,希望隐变量𝒛符合预设的先验分布P(𝒛).在损失函数的设计上,除了原有的重建误差项外,还添加了隐变量𝒛分布的约束项.
从概率的角度,假设数据集都采样自某个分布𝑝(𝒙|𝒛), 𝒛是隐藏变量,代表了某种内部特征, 比如手写数字的图片𝒙, 𝒛可以表示字体的大小、 书写风格、 加粗、斜体等设定,它符合某个先验分布𝑝(𝒛),在给定具体隐藏变量𝒛的情况下,可以从学到了分布𝑝(𝒙|𝒛)中采样一系列的生成样本,这些样本都具有𝒛所表示的共性.
通常假设𝑝(𝒛)符合已知的分布𝒩(0,1). 在𝑝(𝒛)已知的条件下, 希望能学会生成概率模型𝑝(𝒙|𝒛).这里可以采用最大似然估计(Maximum Likelihood Estimation)方法: 一个好的模型,应该拥有很大的概率生成真实的样本𝒙 ∈ 𝔻. 如果生成模型𝑝(𝒙|𝒛)是用𝜃来参数化, 那么的The optimization goal of the neural network is:


由于z是连续变量,这个积分不能转换为离散形式,不能直接优化.
利用变分推断,再经过一系列化简VAE模型优化目标:
![max(\pounds (\theta ,\phi )) = max(-\mathbb{D}_{KL}(q_{\phi }(z|x)||p(z)) + \mathbb{E}_{z-q}[logp_{\theta }(x|z)])](http://img.inotgo.com/imagesLocal/202208/06/202208061137517126_48.gif)
Can be parameterized with an encoder network𝑞 (𝒛|𝒙)函数,Decoder network parameterization𝑝𝜃(𝒙|𝒛)函数,By computing the output distribution of the decoder𝑞 (𝒛|𝒙)与先验分布𝑝(𝒛)之间的 KL 散度,and the likelihood probability of the decoderlog 𝑝𝜃(𝒙|𝒛)The resulting loss function,即可优化ℒ(𝜃, 𝜙)目标.The optimization function converts to :
和
,
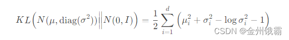
This term can be implemented based on the reconstruction error function in the autoencoder.其中,当𝑞 (z |𝑥)和𝑝(z )都假设为正态分布时:

between independent multivariate normal distributions for each component KL Divergence is:(最终目标函数-需要记住)

其中,d 是隐变量 Z 的维度.

当𝑞 ( |𝑥)为正态分布𝒩(
,
), 𝑝( )为正态分布𝒩(0,1)时,即
= 0,
=1,此时

The formula can also be written as :(单元的KLDivergence derivation formula-离散变量)

对于连续变量,We have the following derivation process:

隐变量采样自编码器的输出𝑞 ( |𝑥),当𝑞(z|𝑥)和𝑝(z )都假设为正态分布时, 编码器输出正态分布的均值𝜇和方差𝜎2,解码器的输入采样自𝒩(𝜇, 𝜎2).由于采样操作的存在,导致梯度传播是不连续的,无法通过梯度下降算法端到端式地训练 VAE 网络:

VAEExecution process and structure:


边栏推荐
猜你喜欢
随机推荐
公司系统太多,如何实现账号互通?
关机程序
kubernetes日常命令
Small program product list paging implementation
聊聊动态代理IP
LNK2001 无法解析的外部符号 cuGetErrorName解决
kubernetes灰度发布
教你画像素画每周分享195期
NC2 重排链表
Kubernetes stain and tolerance
Do-it-yourself databases: Fundamentals of concurrency management
RedTiger‘s Hackit -- level 10
电脑嗡嗡响怎么回事?电脑发热嗡嗡响原因及解决方法
PG核心技术篇--表中系统字段
《ABP Framework 极速开发》 - 教程首发
Kubernetes微服务、容器介绍
1408. String Matching in Arrays: Simple Simulation Questions
The entry node of the ring in the NC3 linked list
d命名单元测试
PS6603-USB PD 协议 SINK 端输出控制器芯片

,
学习到数据的真实隐藏变量 z,并还原出原始的输入𝒙.








