当前位置:网站首页>整流十四---直接功率控制策略
整流十四---直接功率控制策略
2022-08-09 00:09:00 【代码—0422】
整流系列前文中都是pwm整流器的直接电流控制,此篇博文讲描述 三相pwm整流器的直接功率控制。
整个控制系统由以下几个模块组成:
模块一:直流侧电压误差调节器
它的作用是通过反馈的直流侧实际电压与给定的指令电压之间的差值来调节输出,将误差信号输入到闭环控制系统中,以便其控制直流侧电压,使其跟踪指令电压Udc。该调节器的输出与Udc的乘积作为瞬时有功功率的给定值p*。
模块二:瞬时功率估算环节
该模块的作用是通过电压电流计算得出电网瞬时有功和无功功率。其计算结果与有功
无功的指令值比较,作为滞环比较器的输入。
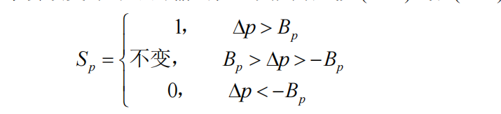
模块三:滞环比较器
滞环比较器的作用是判断实际有功和无功与指令值之间的差距,当达到临界条件时则
会改变输出,调整开关量。单级滞环控制器有 2 个输出值,即 0 和 1,当判据的改变量大于或小于某个临界值时才会改变滞环器的输出值。

其中, p和q 为滞环比较器的输入,也就是有功和无功的误差值。 Bp 和 Bq 分别为有功和无功的临界判断值。
模块四:电网电压矢量扇区鉴别器
在直接功率控制方式中,除了要知道功率的误差值之外,同时还需要当前电网电压矢 量所在的扇区才能判断开关管需要进行的操作[40]。其方便之处在于,只需要知道电网电 压矢量所在的扇区,而不需要像电压定向控制那样,需要精确定位电网电压的矢量角度。 因此,直接功率控制在软件设计上就比 VOC(电压定向控制)要简便的多。

图 2.7(a)给出了 8 个开关矢量所在的角度,并标出了 ABC 三相电网相电压 usa 、usb 、
usc 的位置。图 2.7(b)中的三相相电压和三相线电压将整个矢量空间划分成 12 个扇形区域, 每个区域 30º。这是传统的 12 扇区矢量划分方法,通过逻辑判断可以得出矢量 S 在不同的 扇区中时,三相相电压和线电压的符号,如表 2.1 所示。

模块五:开关矢量表
开关矢量表是通过分析电网电压矢量在不同扇区时,每个开关矢量对功率调节的作用 所得出来的一组控制序列。在不同的输入下,该序列可以唯一的确定一组开关矢量,以此 驱动 PWM 整流器的开关管工作。
下面从电网电压矢量与开关矢量对功率影响的关系分析如何构建一组开关矢量表。



边栏推荐
- The difference between MVC and MVP
- 2017年10月历史文章汇总
- 小程序textarea完美填坑
- 关于MODBUS RTU的T3.5 、T1.5的时序问题
- 穿越派·派盘 + 静读天下 = 顶级电子书阅读器
- Canvas绘图基础知识
- Error executing sql file from Mysql Workbench: Error executing task: 'ascii' codec can't decode byte 0xd0 in position 26:
- The difference between the apply and call in js and usage
- 牛客多校8 补题
- nlp 评论分类实现总结
猜你喜欢
随机推荐
二 分析C#中的结构
vspm虚拟串口调试
最新7篇数据科学/深度学习/CNN/知识图谱/文本匹配等中英文综述论文推介(附下载)
同样一件事,换个词汇效果就不一样(记一次客服电话)~~
穿越派·派盘 + OmniFocus = 私人项目管理库
[深度学习] - 网络模型训练过程的 loss 变化分析 (loss / val_loss / test_loss)
指南针股票软件股票开户安全嘛
flutter loading、Progress进度条
《MySQL入门很轻松》第3章:数据库的创建与操作
2017年10月历史文章汇总
数据机构-哈夫曼树
【 StoneDB Class 】 introductory lesson 3: StoneDB installation of compilation
遇到一个STM32中断的坑,记录一下(和NVIC的抢占位设置有关)
小程序textarea完美填坑
凹凸映射Bump_Mapping
Why software development methodology make you feel bad?
flutter shared_preferences 异步变同步
如何快速简单的设置你的vscode背景图
GRPC学习(An RPC library and framework)
对于js中apply和call的区别和用法









