当前位置:网站首页>OFDM 十六讲 6 Inter symbol Interference
OFDM 十六讲 6 Inter symbol Interference
2022-08-08 23:44:00 【明朝百晓生】
前言:
OFDM 里面涉及到的知识很广
狄拉克脉冲函数,欧拉公式,HMM中的viterbi 算法,傅里叶变换,积分中值定理,分布积分,卷积,泰勒公式。
傅里叶变换 后期 法国数学家发现了小波变换,到最近一期法国的数学家
在傅里叶变换插值法上面又有了重大发现,获得了菲尔兹奖。
参考资料


信号处理--傅里叶变换的性质及常用信号的傅里叶变换_知知知_了的博客-CSDN博客_门函数傅里叶变换
目录:
1: What is Intersymbol Interference ISI?
2: 多径传输
3: overlap
一 What is Intersymbol Interference ISI
ISI 产生主要有两个原因
多径传输
overlap: Band limited 导致的overlapping
二 多径传输

我们可以看成一个阶跃信号u(t)和脉冲信号的卷积(指数或正余弦函数做傅里叶变换为狄拉克脉冲函数)

接受的信号,是不同路径的累加

我们可以看到有部分功率泄露出去会对下一个symbols 产生干扰,如上图红色部分
模型表示

为上一个时刻产生的干扰。
为模型的噪声
三 Band limited
我们发送的信号是0,1的阶跃信号,如下图
2.1 rectangular pulse of finite duration

单独一个阶跃信号在时域表示如下

阶跃信号频域表示如下:

如上图, 我们提高每秒脉冲信号个数会导致符号
减少
如上图,一个符号对应的带宽逐渐变大,因为带宽限制会在不同符号之间产生overlaping
,干扰产生了。
比如上图,功率集中在
范围内,
减小,所需要的带宽会
变大越来越大。



四 常用信号
4.1 单位阶跃信号

平移

4.2 符号函数

4.3 SA 函数 抽样函数

4.4 脉冲函数(狄拉克脉冲函数傅里叶变换)


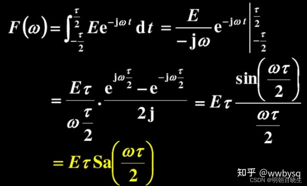
4.5 阶跃信号的傅里叶变换

矩形信号频谱表达式


# -*- coding: utf-8 -*-
"""
Created on Mon Aug 8 11:00:19 2022
@author: chengxf2
"""
import numpy as np
import matplotlib.pyplot as plt
f0 = 20*1e6 #载波频率20MHz的
'''
抽样函数
'''
def sa(x):
if abs(x)<1e-9:
return 1.0
else:
a = np.sin(x)/x
return a
'''
单位阶跃函数的傅里叶变换
e*tau =1
'''
def unitStep():
tau = 1e-3 ##采样周期
e= 1/tau
fc = 1e3 #采样频率
stop = 20*np.math.pi/tau
y =[]
print("\n up ",stop)
wList = np.linspace(-stop,stop,100)
for w in wList:
x = (w*tau)/2.0
eng = sa(x)
y.append(eng)
print("\n eng------")
plt.xlabel("w")
plt.ylabel("eng")
plt.plot(wList,y,c='b')
plt.show()
unitStep()
边栏推荐
- [GYCTF2020]Ezsqli-1|SQL注入
- MES对接Simba实现展讯平台 IMEI 写号与耦合测试
- 最小生成树prim 求得 树上两点之间的最大最小值
- Common problems in installing mysql in linux environment and using it
- linux环境安装mysql和使用中的常见问题
- 并发编程第10篇,CountDownLatch(计数器)和Semaphore(信号量)
- 如何学好编程
- [Tensorflow2] Some interface changes of tensorflow1.x-tensorflow2.x
- -Wl,--start-group ... -Wl,--end-group for resolving circular dependencies of several libraries
- 并发编程第二篇,线程之间的通讯
猜你喜欢

有了国产 DevOps 工具 ,还怕数字化转型成本高?

win10电脑:电脑触摸板控制

jira操作流程

Use Mongoose populate to implement multi-table associative storage and query, with complete code included

洛谷P4197 Peaks 线段树合并

关于vm虚拟机虚拟网络已禁用

【LaTex异常与错误】 - 公式编号的参考引用命令\eqref发生错误Undefined control sequence——可能是因为没加载宏包amsmath

TensorFlow learning path deep learning 】 【 3: gradient disappear \ explosion and solution

51nod1798 打怪兽

(2022牛客多校四)A-Task Computing (排序+动态规划)
随机推荐
可以在易方达基金上买基金吗,安全吗
Hand-written prometheus exporter-01-Gauge (dashboard)
【深度学习】TensorFlow学习之路二:ANN简介及TensorFlow实现
[GYCTF2020]Ezsqli-1|SQL注入
TensorFlow learning path deep learning 】 【 5: several methods to prevent a fitting and within DNN TensorFlow implementation
grpc系列3-自定义端镜像GOAWAY with error code ENHANCE_YOUR_CALM and debug data equal to “too_many_pings“
牛客多校2 G League of Legends
[PP-YOLOv2] Training a custom dataset
WeChat applet develops some function usage methods
C语言中指针的介绍
RecyclerView的多选模式
牛客练习赛88 D 克鲁斯卡尔重构树
51nod2884
Get the start time of the week
stm32 uses serial port to receive idle interrupt + dma to achieve variable length dma reception
官方一键安装redis集群
[QNX Hypervisor 2.2用户手册]10.12 ser8250vdev ser8250 options
STP---生成树协议总结
有了国产 DevOps 工具 ,还怕数字化转型成本高?
MySQL 高级知识【 MyISAM 读锁写锁限制】