当前位置:网站首页>dried food! Reflection on the image migration of targeted confrontation
dried food! Reflection on the image migration of targeted confrontation
2022-04-22 14:49:00 【Aitime theory】
Click on the blue words

Pay attention to our
AI TIME Welcome to everyone AI Fans join in !

At present, the research on Countermeasure samples generally believes that the simple method based on single image iterative optimization is difficult to achieve the goal (targeted) Mobility against attack , Therefore, we have to resort to a large amount of additional data to train multiple complex methods of generating models .
However , We published in NeurIPS 2021 My work found that this was not the case : When the simple method has enough iterations to ensure convergence , Using a very simple objective function ,Logit Loss, To replace the commonly used cross entropy loss function (Cross Entropy Loss), It is enough to make its performance the most complex method at present .
Besides , We also reflect on the current common scenarios for assessing mobility 、 improvement . say concretely , We found that the current evaluation scenario setting is too simple 、 Not reality , Leading to many misleading evaluation results . Therefore, we propose three more challenging 、 More realistic scenes , Provide reference for future related research .
In this issue AI TIME PhD studio , We are invited to Helmholtz information security center in Ryder (CISPA) Postdoctoral fellows —— Zhao Zhengyu , Bring us report sharing 《 Reflection on targeted image migration 》.

Zhao Zhengyu :
Helmholtz information security center, Germany (CISPA) Postdoctoral fellows . He graduated from the Netherlands Radboud university . The research direction involves the security and privacy of computer vision , It mainly includes countermeasure samples (Adversarial Examples), Poison the training sample (Data Poisoning), And train sample members to reason (Membership Inference).
01
Background of Computer Vision
Computer vision is to imitate human vision by training computers , To realize the perception of the world .

Computer vision has been widely used in our daily life : Like autonomous driving 、 Medical imaging and face recognition .

In computer vision , A typical image recognition task mainly consists of the following three steps :

First , The computer camera captures the real scene and stores it as RGB The form of three-dimensional image matrix ;
then , We will use a large number of images with correct labels to train the computer to learn how to recognize ;
Last , After training, the computer can be used to recognize new images .
as everyone knows , With the development of deep learning technology , The recognition ability of computer vision in specific tasks is 2015 It has been able to surpass mankind around .

However , When facing some images taken in unconventional scenes , The recognition ability of computers will decline sharply . As shown in the figure , Although the human eye can recognize the yellow bird regardless of all kinds of noise , But computer vision is hard to do .

In order to study the causes of this phenomenon , So as to further understand the shortcomings of computer vision , Researchers began to study the countermeasure image . Then let's take a look at what is the confrontation image .
02
Running Time of Frank-Wolfe
Countermeasure image is an artificial image produced by tampering with a normal image , The computer vision model can no longer correctly recognize the real content of the image .

As shown in the figure above , A conventional model training process is to input a normal cat image x0, By optimizing the model parameters θ To minimize the loss function J(x,y0=cat) Output , So that the model can learn how to correctly identify x0. This training process can be expressed in the following form :

The process of generating confrontation image can be regarded as a mirror operation of the above training process . in other words , In order to make the trained model no longer recognize the input image correctly x0 The cat in , We will optimize the input image x0 To maximize the loss function J(x,y0=cat) Output . The process of generating a countermeasure image can be expressed in the following form :

Because just let the model no longer output the correct recognition results y0=cat, We call this confrontation process aimless (untargeted) against . similarly , We can also make the model output a specific error recognition result in the following ways , such as yt=dog. We call it targeted (targeted) against .

besides , There is also a basic condition to produce countermeasure image , That is, without obvious tampering marks . This condition is generally limited by the following restrictions on the image and the original image Lp Distance to achieve :

In conclusion , The process of generating a targeted countermeasure image can be expressed as the following optimization problem :

The iterative gradient descent method shown below is most often used in current research to realize this optimization :

03
Data Structure
Obviously , In the above optimization process , We have a strong assumption : We can get the gradient of the model . This situation is called white box confrontation .
And in reality ( Black box ) In the confrontation scene , It's hard for us to know the technical details of the model , Let alone get its specific gradient . So in the real confrontation scenario , We need to optimize the local white box model to get the countermeasure image , At the same time, it can also deceive the unknown black box model . We call this ability to fight images its Transferability( Mobility ).

At present, there are many based on the above I-FGSM To improve the iterative method against image migration . They can be roughly divided into the following two categories .
The first is from the perspective of optimizing the gradient , For example, accumulating the gradients generated by two adjacent iterations can make the gradient direction more stable , It is not easy to fall into the local optimum :

The second category is from the perspective of data expansion , For example, in each iteration, images that have undergone different transformations are used as input . This can also make the gradient more generalized , That is, the generated confrontation image is more mobile :

In addition to the above, it is based on I-FGSM In addition to the iterative method , Recently, some researchers have also proposed more complex methods based on generative models .
As shown in the figure below , If we need to generate, the target category is yt Targeted countermeasure image , We need to train a generative model , Make from yt The natural training image corresponding to the category is distributed as close as possible to the generated countermeasure image .
Last , Put any one of the normal ( test ) Input the image into the trained generation model , You can get that its corresponding target category is yt The image of confrontation .

Compared with the iterative method , The generation of models inevitably consumes more resources
From a data perspective , The iterative method only needs a single input image in the test phase , The method of generating model needs a lot of data for additional training ;
From a model point of view , When corresponding n Different target categories yt When the confrontation image , The iterative method only needs to use the same white box model , The method of generating model needs training n There are two different specific yt The generation model of .
Researchers naturally found that , On the premise of consuming a lot of additional data and computing resources , The migration effect of the generated model method is much better than that of the simple iterative method .
04
Our New Insights into Targeted Transferability
We review the current research on targeted countermeasure images , It is found that only minor changes are made to the traditional iterative method , You can achieve or even exceed the mobility performance of the generation model method .
As shown in the following table , This migration gap is more prominent in the more challenging small image distance scene .

In detail , We found that it is different from the aimless scene , It takes hundreds of iterations to generate a mobile target countermeasure image to complete the convergence of the optimization algorithm .
As shown in the figure below , The non target scene represented by the red line is 20 It has converged to almost 100% Mobility of , For the targeted scene, yuan has not achieved the optimal effect . However, the targeted scene in the existing research also stops in 20 The following iterations , So naturally, we can't get a good migration effect . By increasing the number of iterations , We found that the mobility of targeted scenes has also been significantly improved .

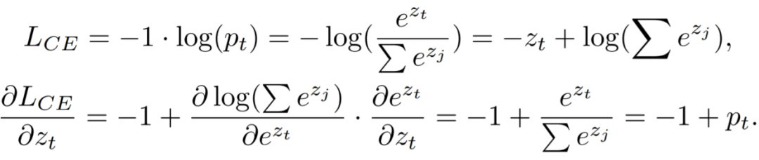
Although increasing the number of iterations can improve the mobility to some extent , However, we find that the commonly used cross entropy loss function (Cross Entropy Loss) Because of the defect of gradient descent, it is not suitable for our large number of iterative scenarios .
As shown in the following formula , As the number of iterations increases , Target categories yt The corresponding probability pt Will gradually tend to 1, The gradient corresponding to the loss function decreases until it finally tends to 0.

This phenomenon can also be understood more intuitively through the following figure .

Because of this defect , Using the cross entropy loss function (Cross Entropy Loss) The optimization of portability will quickly stagnate even with a large number of iterations . thus , We propose a simple and effective Logit Loss function to avoid the occurrence of the above phenomenon .
As shown in the following formula ,Logit The gradient of the loss function is always fixed at 1, Thus, there will be no optimization stagnation when a large number of iterations are applied .

From the migration results shown in the figure below , Use Logit Although the loss function is not different from the cross entropy loss function when the number of iterations is small , As the number of iterations increases , Its advantages gradually appear .

thus , We propose by increasing the number of iterations and applying Logit Loss function method to greatly improve the mobility of traditional iterative methods . Next, we also reflect and improve the commonly used evaluation scenarios in the current research .
Our reflection on the assessment scenario mainly starts from the following two dimensions :
Diversity of models
We found that the current mobility assessment scenario is too simple , Because the white box and black box models involved are very similar in structure .
As shown in the following table , In this simple scenario , Different methods can achieve 90% High mobility on the left and right . Such high saturation performance makes the advantages and disadvantages of different methods can not be well reflected .

Therefore, we propose a method involving more kinds of model structures , More challenging migration scenarios .
As shown in the figure below , In this more challenging new scenario , We found the newly proposed Logit The loss function achieves better results than the other two existing methods .

We further tested more rigorous real-world migration scenarios : We directly upload the countermeasure image optimized from the white box model to Google Cloud Vision API Test its antagonism effect on , Also got Logit The conclusion that the loss function performs best .

As can be seen from the example in the screenshot below , Although the countermeasure image looks only a little more irregular noise than the original image , But enough to deceive the black box Google Cloud Vision API To our preset target class (yt=boat).

Most of the evaluation scenarios in the current research only test the randomly selected confrontation target categories yt The situation of , And we think for the same image , Different yt The corresponding mobility will also be different .
Specially , We are from 2nd Category changed to 1000th When category , Mobility will then become more difficult to achieve . The results shown in the following table verify our idea .

Based on the above conclusion , We can do this by yt Set to the category at the bottom of the sequence ( such as 1000th) Make the assessment more challenging , Not just random selection yt Simple assessment scenarios .
And we can also find out , Even in the most difficult circumstances , our Logit The loss function still performs best .
05
summary
1、 We found that through minor changes ( Including increasing the number of iterations and using Logit The loss function replaces the traditional cross entropy loss function ), The existing simple iterative methods can achieve the migration effect comparable to the complex generation model method .
2、 We propose a more challenging assessment of mobility 、 A more realistic new scene . This new scenario mainly takes into account the diversity of models and the diversity of confrontation target categories .
06
expectation
1、 As shown in the figure below , We found that when designing certain model structures ( such as Inception) when , The effect of mobility is particularly poor , In the future, we need more exploration to understand and solve this problem .

2、 Although the generation model method requires a lot of data and computing resources to train the generation model , However, it can generate confrontation image through only one forward operation in the test stage .
contrary , Although the iterative method design is more lightweight , In the testing phase, it is inevitable to need a lot of iterative optimization .
So in the future, we can consider how to combine the advantages of the two methods , Realize fast and relatively save data 、 Methods of computing resources .

carry
Wake up
Thesis link :
https://arxiv.org/abs/2012.11207
Thesis title :
On Success and Simplicity: A Second Look at Transferable Targeted Attacks
Click on “ Read the original ”, You can watch this playback
Arrangement : Lin be
author : Zhao Zhengyu
Excellent articles in the past are recommended
Remember to pay attention to us ! There is new knowledge every day !
About AI TIME
AI TIME From 2019 year , It aims to carry forward the spirit of scientific speculation , Invite people from all walks of life to the theory of artificial intelligence 、 Explore the essence of algorithm and scenario application , Strengthen the collision of ideas , Link the world AI scholars 、 Industry experts and enthusiasts , I hope in the form of debate , Explore the contradiction between artificial intelligence and human future , Explore the future of artificial intelligence .
so far ,AI TIME Has invited 600 Many speakers at home and abroad , Held more than 300 An event , super 150 10000 people watch .

I know you.
Looking at
Oh
~

Click on Read the original View playback !
版权声明
本文为[Aitime theory]所创,转载请带上原文链接,感谢
https://yzsam.com/2022/04/202204221444405803.html
边栏推荐
- How do I copy requests from the Chrome web tab to postman?
- vscode settings. JSON location
- 我为什么要反对DBA参与业务(出报表/改数据)
- App + applet container enterprises can also easily build a super application ecosystem
- Alibaba cloud IOT transfer to PostgreSQL database scheme
- 第一阶段*第四章*项目管理一般知识
- 快速整明白Redis中的字典到底是个啥
- Weekly Q & A highlights: is polardb-x fully compatible with MySQL?
- 世界读书日晒出你的书单,有机会领取免费读书年卡!
- Redis面试题汇总,mysql索引优化面试题常问
猜你喜欢

使用 MyCat 配置 MySQL 集群(2)—— 配置 MySQL 主从复制

2022年C#发展趋势

Android 面试:事件分发8连问,安卓基础面试题

Llvm founder Chris LATTNER reviews and looks forward to the compiler

性能飙升66%的秘密:AMD 2.5万元768MB 3D缓存霄龙首次开盖

Android interview: event distribution 8 consecutive questions, Android basic interview questions

中国 AI 的“黄埔军校”?MSRA 被曝停招“国防七子”及北邮学生

Go语言简介,环境安装,基本结构

世界读书日晒出你的书单,有机会领取免费读书年卡!

GIS and Mathematics
随机推荐
Static routing comprehensive experiment
Kubecost | Kubernetes 开支监控和管理
Kubecost | kubernetes expenditure monitoring and management
Itologicaloperator instructions
ArcEngine read raster flash back
Android性能优化 _ 帧动画OOM?优化帧动画之SurfaceView逐帧解析,阿里P8面试官都说太详细了
集合类
我的基于 JamStack 的新博客
学习记录568@RSA公钥体系及其解密证明方式二
php 一维数组去重
It people should not only improve their earning ability, but also expand their ways of making money. The "immortal document" released by Tencent's technical officer is a hot network
VDO virtual data optimization
flinkSQL 只有输入和输出的情况下,会合并成一个子任务,这种情况就无法显示出输入输出的数据量?
[ELT. Zip] openharmony paper club -- Interpretation of compressed coding from the perspective of overview
智能手表的下半场,机遇与挑战并存
Is it safe to open a stock account in Nanjing? Is it dangerous?
C install opencv
golang入门笔记—redis
Alibaba cloud IOT transfer to PostgreSQL database scheme
[mydatanotis.08001] mydatagrid connection error
