当前位置:网站首页>【Paper】2019_ Distributed fixed-time consensus-based formation tracking for multiple nonholonomic whee
【Paper】2019_ Distributed fixed-time consensus-based formation tracking for multiple nonholonomic whee
2022-04-22 22:44:00 【Zhao-Jichao】
Distributed fixed-time consensus-based formation tracking for multiple nonholonomic wheeled mobile robots under directed topology
List of articles
| Notations | Description | |
|---|---|---|
| x j , y j x_j, y_j xj,yj | Location | |
| θ j \theta_j θj | angle | |
| v j , ω j v_j, \omega_j vj,ωj | Speed , angular velocity , It is also a control input | |
| u 1 j , u 2 j u_{1j}, u_{2j} u1j,u2j | Linear input | |
1. Introduction
2. Preliminaries and problem formulation
2.1 Notations
s i g ( x j ) α = ∣ x j ∣ α s i g n ( x j ) sig(x_j)^\alpha = |x_j|^\alpha sign(x_j) sig(xj)α=∣xj∣αsign(xj)
s i g n ( x j ) = x j / ∣ x j ∣ sign(x_j) = x_j / |x_j| sign(xj)=xj/∣xj∣
2.2 Preliminaries
M = L + B \mathcal{M} = L + B M=L+B
2.3 Problem formulation
Robot model with nonholonomic constraints , Its dynamics is
x ˙ j ( t ) = v j ( t ) cos θ j ( t ) , y ˙ j ( t ) = v j ( t ) sin θ j ( t ) , θ ˙ j ( t ) = ω j ( t ) . (2) \begin{aligned} \dot{x}_j(t) &= v_j(t) \cos \theta_j(t), \\ \dot{y}_j(t) &= v_j(t) \sin \theta_j(t), \\ \dot{\theta}_j(t) &= \omega_j(t). \tag{2} \end{aligned} x˙j(t)y˙j(t)θ˙j(t)=vj(t)cosθj(t),=vj(t)sinθj(t),=ωj(t).(2)

The virtual pilot is
x ˙ 0 ( t ) = v 0 ( t ) cos θ 0 ( t ) (3) \dot{x}_0(t) = v_0(t) \cos \theta_0(t) \tag{3} x˙0(t)=v0(t)cosθ0(t)(3) y ˙ 0 ( t ) = v 0 ( t ) sin θ 0 ( t ) (4) \dot{y}_0(t) = v_0(t) \sin \theta_0(t) \tag{4} y˙0(t)=v0(t)sinθ0(t)(4) θ ˙ 0 ( t ) = ω 0 ( t ) (5) \dot{\theta}_0(t) = \omega_0(t) \tag{5} θ˙0(t)=ω0(t)(5)
3. Main result
3.1 Transformation and control objective
Because the wheeled mobile robot system is incomplete , Therefore, it is much more complex than linear system . therefore , We need a partially linearized robot system .
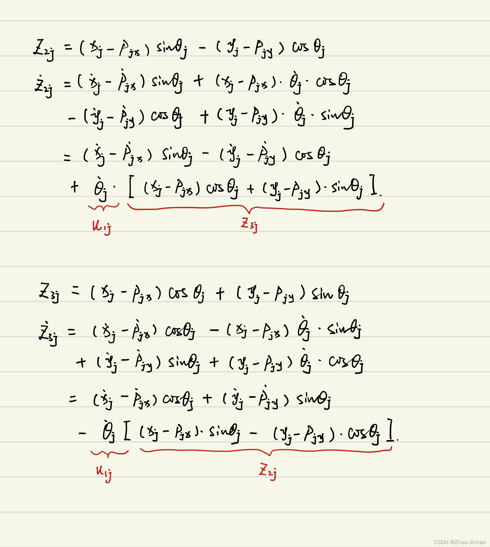
z 1 j = θ j , z 2 j = ( x j − p j x ) sin θ j − ( y j − p j y ) cos θ j z 3 j = ( x j − p j x ) cos θ j + ( y j − p j y ) sin θ j u 1 j = ω j u 2 j = v j − u 1 j z 2 j (9) \begin{aligned} z_{1j} &= \theta_j, \\ z_{2j} &= (x_j - p_{jx}) \red{\sin} \theta_j \red{-} (y_j - p_{jy}) \red{\cos} \theta_j \\ z_{3j} &= (x_j - p_{jx}) \red{\cos} \theta_j \red{+} (y_j - p_{jy}) \red{\sin} \theta_j \\ u_{1j} &= \omega_j \\ u_{2j} &= v_j - u_{1j} z_{2j} \tag{9} \end{aligned} z1jz2jz3ju1ju2j=θj,=(xj−pjx)sinθj−(yj−pjy)cosθj=(xj−pjx)cosθj+(yj−pjy)sinθj=ωj=vj−u1jz2j(9)
After this transformation , The formation tracking control problem is transformed into a state consistency problem .
System (2) It can be written.
z ˙ 1 j = u 1 j , z ˙ 2 j = u 1 j z 3 j , z ˙ 3 j = u 2 j , (10, 11, 12) \begin{aligned} \dot{z}_{1j} &= u_{1j}, \\ \dot{z}_{2j} &= u_{1j} z_{3j}, \\ \dot{z}_{3j} &= u_{2j}, \\ \tag{10, 11, 12} \end{aligned} z˙1jz˙2jz˙3j=u1j,=u1jz3j,=u2j,(10, 11, 12)
Because the model has been transformed , Then the control target can also be converted into the following form :
lim t → T ( z 1 j − z 10 ) = 0 , lim t → T ( z 2 j − z 20 ) = 0 , lim t → T ( z 3 j − z 30 ) = 0. (13, 14, 15) \begin{aligned} \lim_{t \rightarrow T} (z_{1j} - z_{10}) = 0, \\ \lim_{t \rightarrow T} (z_{2j} - z_{20}) = 0, \\ \lim_{t \rightarrow T} (z_{3j} - z_{30}) = 0. \\ \tag{13, 14, 15} \end{aligned} t→Tlim(z1j−z10)=0,t→Tlim(z2j−z20)=0,t→Tlim(z3j−z30)=0.(13, 14, 15)
3.2 Distributed fixed-time control algorithm under directed topology
Tracking error is defined as
z ~ 1 j = z 1 j − z 10 , z ~ 2 j = z 2 j − z 20 , z ~ 3 j = z 3 j − z 30 . (16) \begin{aligned} \tilde{z}_{1j} &= z_{1j} - z_{10}, \\ \tilde{z}_{2j} &= z_{2j} - z_{20}, \\ \tilde{z}_{3j} &= z_{3j} - z_{30}. \tag{16} \end{aligned} z~1jz~2jz~3j=z1j−z10,=z2j−z20,=z3j−z30.(16)
Define agents j j j The local relative error is
e 1 j = ∑ j ∈ N j a j i ( z 1 j − z 1 i ) + b j ( z 1 j − z 10 ) e 2 j = ∑ j ∈ N j a j i ( z 2 j − z 2 i ) + b j ( z 2 j − z 20 ) e 3 j = ∑ j ∈ N j a j i ( z 3 j − z 3 i ) + b j ( z 3 j − z 30 ) (17, 18, 19) \begin{aligned} e_{1j} &= \sum_{j \in N_j} a_{ji} (z_{1j} - z_{1i}) + b_j (z_{1j} - z_{10}) \\ e_{2j} &= \sum_{j \in N_j} a_{ji} (z_{2j} - z_{2i}) + b_j (z_{2j} - z_{20}) \\ e_{3j} &= \sum_{j \in N_j} a_{ji} (z_{3j} - z_{3i}) + b_j (z_{3j} - z_{30}) \\ \tag{17, 18, 19} \end{aligned} e1je2je3j=j∈Nj∑aji(z1j−z1i)+bj(z1j−z10)=j∈Nj∑aji(z2j−z2i)+bj(z2j−z20)=j∈Nj∑aji(z3j−z3i)+bj(z3j−z30)(17, 18, 19)
Define column vectors and construct matrix forms :
z 1 = [ z 11 ⋮ z 1 m ] z_1 = \left[\begin{matrix} z_{11} \\ \vdots \\ z_{1m} \\ \end{matrix}\right] z1=⎣⎢⎡z11⋮z1m⎦⎥⎤, z 2 = [ z 21 ⋮ z 2 m ] z_2 = \left[\begin{matrix} z_{21} \\ \vdots \\ z_{2m} \\ \end{matrix}\right] z2=⎣⎢⎡z21⋮z2m⎦⎥⎤, z 3 = [ z 31 ⋮ z 3 m ] z_3 = \left[\begin{matrix} z_{31} \\ \vdots \\ z_{3m} \\ \end{matrix}\right] z3=⎣⎢⎡z31⋮z3m⎦⎥⎤.
z ~ 1 = [ z ~ 11 ⋮ z ~ 1 m ] \tilde{z}_1 = \left[\begin{matrix} \tilde{z}_{11} \\ \vdots \\ \tilde{z}_{1m} \\ \end{matrix}\right] z~1=⎣⎢⎡z~11⋮z~1m⎦⎥⎤, z ~ 2 = [ z ~ 21 ⋮ z ~ 2 m ] \tilde{z}_2 = \left[\begin{matrix} \tilde{z}_{21} \\ \vdots \\ \tilde{z}_{2m} \\ \end{matrix}\right] z~2=⎣⎢⎡z~21⋮z~2m⎦⎥⎤, z ~ 3 = [ z ~ 31 ⋮ z ~ 3 m ] \tilde{z}_3 = \left[\begin{matrix} \tilde{z}_{31} \\ \vdots \\ \tilde{z}_{3m} \\ \end{matrix}\right] z~3=⎣⎢⎡z~31⋮z~3m⎦⎥⎤.
e 1 = [ e 11 ⋮ e 1 m ] e_1 = \left[\begin{matrix} e_{11} \\ \vdots \\ e_{1m} \\ \end{matrix}\right] e1=⎣⎢⎡e11⋮e1m⎦⎥⎤, e 2 = [ e 21 ⋮ e 2 m ] e_2 = \left[\begin{matrix} e_{21} \\ \vdots \\ e_{2m} \\ \end{matrix}\right] e2=⎣⎢⎡e21⋮e2m⎦⎥⎤, e 3 = [ e 31 ⋮ e 3 m ] e_3 = \left[\begin{matrix} e_{31} \\ \vdots \\ e_{3m} \\ \end{matrix}\right] e3=⎣⎢⎡e31⋮e3m⎦⎥⎤.
that (17-19) It can be transformed into the following matrix form :
e 1 = M z ~ 1 e 2 = M z ~ 2 e 3 = M z ~ 3 (20, 21, 22) \begin{aligned} e_1 &= \mathcal{M} \tilde{z}_1 \\ e_2 &= \mathcal{M} \tilde{z}_2 \\ e_3 &= \mathcal{M} \tilde{z}_3 \\ \tag{20, 21, 22} \end{aligned} e1e2e3=Mz~1=Mz~2=Mz~3(20, 21, 22)
Expand the first one to facilitate understanding :
[ e 11 e 12 e 13 e 14 e 15 e 16 ] = [ d 11 + b 1 − a 12 − a 13 − a 14 − a 15 − a 16 − − − − − ] [ z ~ 11 = z 11 − z 10 z ~ 12 = z 12 − z 10 z ~ 13 = z 13 − z 10 z ~ 14 = z 14 − z 10 z ~ 15 = z 15 − z 10 z ~ 16 = z 16 − z 10 ] = [ ( d 11 + b 1 ) ( z 11 − z 10 ) − a 12 ( z 12 − z 10 ) − a 13 ( z 13 − z 10 ) − a 14 ( z 14 − z 10 ) − a 15 ( z 15 − z 10 ) a 16 ( z 16 − z 10 ) − − − − − ] = [ ( d 11 + b 1 ) z 11 − ( d 11 + b 1 ) z 10 − a 12 z 12 + a 12 z 10 − a 13 z 13 + a 13 z 10 − a 14 z 14 + a 14 z 10 − a 15 z 15 + a 15 z 10 − a 16 z 16 + a 16 z 10 ) − − − − − ] = [ ( d 11 + b 1 ) z 11 − d 11 z 10 − b 1 z 10 + ( a 12 + a 13 + a 14 + a 15 + a 16 ) z 10 − a 12 z 12 − a 13 z 13 − a 14 z 14 − a 15 z 15 − a 16 z 16 − − − − − ] \begin{aligned} \left[\begin{matrix} e_{11} \\ e_{12} \\ e_{13} \\ e_{14} \\ e_{15} \\ e_{16} \\ \end{matrix}\right]&= \left[\begin{matrix} d_{11}+b_{1} & -a_{12} & -a_{13} & -a_{14} & -a_{15} & -a_{16} \\ -\\ -\\ -\\ -\\ -\\ \end{matrix}\right] \left[\begin{matrix} \tilde{z}_{11} = z_{11}-z_{10} \\ \tilde{z}_{12} = z_{12}-z_{10} \\ \tilde{z}_{13} = z_{13}-z_{10} \\ \tilde{z}_{14} = z_{14}-z_{10} \\ \tilde{z}_{15} = z_{15}-z_{10} \\ \tilde{z}_{16} = z_{16}-z_{10} \\ \end{matrix}\right] \\ &= \left[\begin{matrix} (d_{11} + b_1)(z_{11}-z_{10}) - a_{12}(z_{12}-z_{10}) - a_{13}(z_{13}-z_{10}) - a_{14}(z_{14}-z_{10}) - a_{15}(z_{15}-z_{10}) a_{16}(z_{16}-z_{10}) \\ -\\ -\\ -\\ -\\ -\\ \end{matrix}\right] \\ &= \left[\begin{matrix} (d_{11} + b_1)z_{11}-(d_{11} + b_1)z_{10} - a_{12}z_{12} + a_{12}z_{10} - a_{13}z_{13} + a_{13}z_{10} - a_{14}z_{14} + a_{14}z_{10} - a_{15}z_{15} + a_{15}z_{10} - a_{16}z_{16} + a_{16}z_{10})\\ -\\ -\\ -\\ -\\ -\\ \end{matrix}\right] \\ &= \left[\begin{matrix} (d_{11} + b_1)z_{11} - d_{11} z_{10} - b_1 z_{10} + (a_{12}+a_{13}+a_{14}+a_{15}+a_{16})z_{10} - a_{12}z_{12} - a_{13}z_{13} - a_{14}z_{14} - a_{15}z_{15} - a_{16}z_{16} \\ -\\ -\\ -\\ -\\ -\\ \end{matrix}\right] \end{aligned} ⎣⎢⎢⎢⎢⎢⎢⎡e11e12e13e14e15e16⎦⎥⎥⎥⎥⎥⎥⎤=⎣⎢⎢⎢⎢⎢⎢⎡d11+b1−−−−−−a12−a13−a14−a15−a16⎦⎥⎥⎥⎥⎥⎥⎤⎣⎢⎢⎢⎢⎢⎢⎡z~11=z11−z10z~12=z12−z10z~13=z13−z10z~14=z14−z10z~15=z15−z10z~16=z16−z10⎦⎥⎥⎥⎥⎥⎥⎤=⎣⎢⎢⎢⎢⎢⎢⎡(d11+b1)(z11−z10)−a12(z12−z10)−a13(z13−z10)−a14(z14−z10)−a15(z15−z10)a16(z16−z10)−−−−−⎦⎥⎥⎥⎥⎥⎥⎤=⎣⎢⎢⎢⎢⎢⎢⎡(d11+b1)z11−(d11+b1)z10−a12z12+a12z10−a13z13+a13z10−a14z14+a14z10−a15z15+a15z10−a16z16+a16z10)−−−−−⎦⎥⎥⎥⎥⎥⎥⎤=⎣⎢⎢⎢⎢⎢⎢⎡(d11+b1)z11−d11z10−b1z10+(a12+a13+a14+a15+a16)z10−a12z12−a13z13−a14z14−a15z15−a16z16−−−−−⎦⎥⎥⎥⎥⎥⎥⎤
Next look down , An auxiliary local relative error is given e ˉ 2 \bar{e}_\red{2} eˉ2
e ˉ 2 = e 2 − M d i a g ( z 3 ) z ~ 1 (23) \begin{aligned} \bar{e}_\red{2} &= e_\red{2} - \mathcal{M} diag(z_\red{3}) \tilde{z}_\red{1} \end{aligned} \tag{23} eˉ2=e2−Mdiag(z3)z~1(23)
[ e ˉ 2 1 e ˉ 2 2 e ˉ 2 3 e ˉ 2 4 e ˉ 2 5 e ˉ 2 6 ] = [ e 2 1 e 2 2 e 2 3 e 2 4 e 2 5 e 2 6 ] − [ d 11 + b 1 − a 12 − a 13 − a 14 − a 15 − a 16 − − − − − ] [ z 3 1 z 3 2 z 3 3 z 3 4 z 3 5 z 3 6 ] [ z ~ 1 1 z ~ 1 2 z ~ 1 3 z ~ 1 4 z ~ 1 5 z ~ 1 6 ] \begin{aligned} \left[\begin{matrix} \bar{e}_{\red{2}1} \\ \bar{e}_{\red{2}2} \\ \bar{e}_{\red{2}3} \\ \bar{e}_{\red{2}4} \\ \bar{e}_{\red{2}5} \\ \bar{e}_{\red{2}6} \\ \end{matrix}\right]= \left[\begin{matrix} e_{\red{2}1} \\ e_{\red{2}2} \\ e_{\red{2}3} \\ e_{\red{2}4} \\ e_{\red{2}5} \\ e_{\red{2}6} \\ \end{matrix}\right]- \left[\begin{matrix} d_{11}+b_{1} & -a_{12} & -a_{13} & -a_{14} & -a_{15} & -a_{16} \\ -\\ -\\ -\\ -\\ -\\ \end{matrix}\right] \left[\begin{matrix} z_{\red{3}1} \\ &z_{\red{3}2} \\ &&z_{\red{3}3} \\ &&&z_{\red{3}4} \\ &&&&z_{\red{3}5} \\ &&&&&z_{\red{3}6} \\ \end{matrix}\right] \left[\begin{matrix} \tilde{z}_{\red{1}1} \\ \tilde{z}_{\red{1}2} \\ \tilde{z}_{\red{1}3} \\ \tilde{z}_{\red{1}4} \\ \tilde{z}_{\red{1}5} \\ \tilde{z}_{\red{1}6} \\ \end{matrix}\right] \end{aligned} ⎣⎢⎢⎢⎢⎢⎢⎡eˉ21eˉ22eˉ23eˉ24eˉ25eˉ26⎦⎥⎥⎥⎥⎥⎥⎤=⎣⎢⎢⎢⎢⎢⎢⎡e21e22e23e24e25e26⎦⎥⎥⎥⎥⎥⎥⎤−⎣⎢⎢⎢⎢⎢⎢⎡d11+b1−−−−−−a12−a13−a14−a15−a16⎦⎥⎥⎥⎥⎥⎥⎤⎣⎢⎢⎢⎢⎢⎢⎡z31z32z33z34z35z36⎦⎥⎥⎥⎥⎥⎥⎤⎣⎢⎢⎢⎢⎢⎢⎡z~11z~12z~13z~14z~15z~16⎦⎥⎥⎥⎥⎥⎥⎤
control input
u 1 j = 1 ∑ j ∈ N i a j i + b j ( − k 1 s i g ( e 1 j ) α − k 3 s i g ( e 1 j ) β + b j u 10 + ∑ i ∈ N j a j i u 1 i + u 1 j ∗ ) (35) \begin{aligned} u_{1j} &= \frac{1}{\sum_{j \in N_i} a_{ji} + b_j} (-k_1 ~ sig(e_{1j})^\alpha ~ -k_3 ~ sig(e_{1j})^\beta \\ &+ b_j u_{10} + \sum_{i \in N_j} a_{ji} u_{1i} + u^*_{1j} ) \tag{35} \end{aligned} u1j=∑j∈Niaji+bj1(−k1 sig(e1j)α −k3 sig(e1j)β+bju10+i∈Nj∑ajiu1i+u1j∗)(35)
4. Simulation result
5. Conclusion
x ˙ i ( t ) = v i ( t ) cos θ i ( t ) , y ˙ i ( t ) = v i ( t ) sin θ i ( t ) , θ ˙ i ( t ) = ω i ( t ) . (2) \begin{aligned} \dot{x}_i(t) &= v_i(t) \cos \theta_i(t), \\ \dot{y}_i(t) &= v_i(t) \sin \theta_i(t), \\ \dot{\theta}_i(t) &= \omega_i(t). \tag{2} \end{aligned} x˙i(t)y˙i(t)θ˙i(t)=vi(t)cosθi(t),=vi(t)sinθi(t),=ωi(t).(2)
x ˙ i ( t ) = v i x ( t ) , y ˙ i ( t ) = v i y ( t ) . (2) \begin{aligned} \dot{x}_i(t) &= v^x_i(t), \\ \dot{y}_i(t) &= v^y_i(t). \tag{2} \end{aligned} x˙i(t)y˙i(t)=vix(t),=viy(t).(2)
Appendix
In order to understand the conversion process , Give the conversion formula
type (10) Good. Here we are .
type (11,12) Yes :

type (11) and (12) I still don't quite understand
版权声明
本文为[Zhao-Jichao]所创,转载请带上原文链接,感谢
https://yzsam.com/2022/04/202204222202030855.html
边栏推荐
- [intranet penetration] - vulnstack (I)
- 2.57-编写程序show_short, show_long和show_double,它们分别打印类型为short, long和double的C语言对象的字节表示。请试着在几种机器上运行。
- Which is the most suitable educational financial product?
- 【微信小程序开发(云壁纸小程序教程)】
- Basic practice of C language (001-1)
- Implementation of multi-layer perceptron from scratch (extracting function from D2L package)
- SecureCRT v7.0连接sshd服务失败解决
- kubeflow创建新用户用户密码
- MySql内置函数
- ATOS阿托斯比例阀的工作原理及主要特性概述
猜你喜欢

【MMUB】基于Hidden Markov model的手机用户行为建模——Hidden Markov model

A journey to C by Xiao Sai Mao -- first understanding of C language (3)

【Paper】2019_Distributed fixed-time consensus-based formation tracking for multiple nonholonomic whee

吴恩达-深度学习微课-第四课

0-1背包问题讲解 & leetcode相关题目总结

2.55-在你能够访问的不同机器上,使用show_bytes(文件show_bytes.c)编译并运行示例代码。确定这些机器使用的字节顺序。

Analysis of real questions and answers of software designers in the morning in the second half of 2021

多线程进阶(六)----锁机制

Hydraulic shock analysis of haWe haWe hydraulic pump station

【微信小程序开发(云壁纸小程序教程)】
随机推荐
PHP one-dimensional array de duplication
Infix to suffix expression (inverse Polish) to prefix expression (polish)
Catering industry cashier system source code, C # Net + MSSQL WPF
4 / 21 Kunming supplementary questions + mathematics
初学单片机点亮第一个外设--LED灯
GORM 预加载和自引用
ATOS阿托斯比例阀的工作原理及主要特性概述
【玩转Lighthouse】搭建即收即毁的临时邮箱系统
根据这个有效方法,UI自动化测试就是那么的简单
GBase 8s V8.8 SQL 指南:教程-6.2.2(3)
0基础UnityURP渲染管线之阴影ShadowCaster-ShadowMask-Map傻傻分不清楚(代码向)
jsp的form表单提交给servlet但js失效问题
io_uring技术在分布式云原生数据库中的应用
Reinforcement learning (practice): feedback, AC
输入一行字符,单词之间用一个空格分隔,统计其中有多少个单词
【洛穀】P1162 填塗顏色(bfs)
GBase 8s V8. 8 SQL Guide: Tutorial - 6.2.1 (4)
2.55-在你能够访问的不同机器上,使用show_bytes(文件show_bytes.c)编译并运行示例代码。确定这些机器使用的字节顺序。
2.59-编写一个C表达式,它生成一个字,由x的最低有效字节和y中剩下的字节组成。对于运算数x =0x89ABCDEF和y=0x76543210,就得到0x765432EF.
kubeflow创建新用户用户密码