当前位置:网站首页>功率放大器的设计要点
功率放大器的设计要点
2022-08-04 15:39:00 【ltqshs】
一、功率放大电路的关键问题
我们常用的喇叭(扬声器)常常需要使用功率放大器才能使其发出声音,随着科技的发展,现在有很多输出功率大且集成在封装的IC可以作为功率放大器,并且功率放大器会随着输出功率的增大而发热,这可能导致在IC内部电性能发生变化,所以在设计中,需要注意因温度引起的稳定性问题。这里,功率放大电路使用共发射极放大电路与射极跟随器相组合,来设计、制作使扬声器发声的简单功率放大器。
关键词:功率放大器;共发射极放大电路;射击跟随器
设计之前需要考虑功率放大电路的几个关键问题:
1、电压放大与电流放大;
2、简单的推挽电路;
3、对开关失真进行修真;
4、防止热击穿;
5、抑制空载电流随温度的变动
电压放大与电流放大
图1-1表示功率放大电路的框图,将输入信号的电压放大之后进行电流放大以驱动扬声器等负载。

图1-1 功率放大电路的框图
制作电压放大级,通常可用共发射极或者共基极以及源接地或者栅接地的有电压增益的电路。这些电路仅进行电压放大,因电路的电流小,所以没有发热的问题。
制作电流放大级,要对电压放大级放大后的电平信号进行处理,且由于进行电流放大需流过大电流,常采用射极跟随器的方式,所以晶体管变得很热,存在严重的发热问题。
简单的推挽电路
为了增大射击跟随器的输出电流,常采用推挽的方式,基本结构如图1-2所示:

图1-2 推挽电路的基本结构
图1-2中无信号时,三极管Tr1和Tr2截止、空载电流没有流动的情况,这种情况不需要考虑温度稳定性的问题。但是这种电路存在开关失真大的缺点,所以需要对其进行修正。
对开关失真进行修改
图1-3左边是对晶体管的基极-发射极间电压Vbe用二极管的正向压降Vf进行抵消、进而来消除开关失真的电路。
晶体管Vbe的值具有温度越高就越小的负温度系数(-2.5mV/℃)。因此,由这样的电路取出大量负载电流时,三极管Tr1和Tr2的温度就升高,Vbe的值就变小,然而,即使Tr1和Tr2的温度变高,二极管D1和D2上流动的电流变化也不大,所以其正向压降Vf也几乎是一定值,也就是Vf≈Vbe的关系被破坏,而成为Vf>Vbe。这样一来,在Tr1和Tr2中,与Vf和Vbe之差相对应的基极电流流动,为基极电流提供了Hfe倍的集电极电流作为空载电流而流动,这样,进一步增加了集电极电流,使得集体管的温度变得更高,Vf和Vbe的电压差变大,集电极电流变得更大,最后导致Tr1和Tr2发生热击穿,所以需要采取措施对热击穿进行保护。

图1-3 加二极管修正开关失真
防止热击穿
图1-4是在图1-3电路中接入发射极电阻来吸收Vf与Vbe的电压差,从而限制发射极电流的电路。空载时的集电极电流被限制在(Vf-Vbe)/R,该电路比图1-3更加安全,但想减少空载时的集电极电流,则必须增大R的值。
例如,Vf与Vbe的电压差为100mV时(D1,D2与Tr1、Tr2的温度差40℃,约产生100mV的电压差),为了将空载时的集电极电流控制在在10MA,则必须设定R=10Ω。
这样一来,即使射极跟随器的输出阻抗为0,该电路的输出阻抗也为Z0=10Ω,因该发射极电阻引发的损失,在大电流输出的电路中就不能驱动如扬声器那样的低阻抗负载(扬声器的阻抗为6~8Ω)。
但是,该电路因温度产生的电压差仅由电阻吸收,所以没有根本地解决空载电流随温度变动的问题。

图1-4 防止热击穿电路
抑制空载电流随温度的变化
图1-5是在射极跟随器的晶体管与偏置电路中使用晶体管进行热耦合的电路。随着温度的变化,偏置电压发生变化,以达到根本解决空载电流随温度变动的问题。

图1-5 温度稳定度好的偏置电路
在该电路中,如设Tr1的基极-发射极间电压为Vbe,则Tr1的基极偏置电路Ra、Rb上流动的电流i为:

另一方面,Tr1的集电极-发射极间电压Vb(约等于Tr2与Tr3的偏置电压)为:

将式(1.2)代入到式(1.1)中,得:

总之,改变Ra与Rb之比,可以将Vb设定为Vbe1的任意倍。在图1-5的电路中,必须对Tr2与Tr3的基极-基极间电压设定在晶体管的两个Vbe上(=Vbe2+Vbe3)。因此,如设Ra=Rb,则Vb=2Vbe1(2个Vbe),从而取得电压的平衡(这里,认为Vbe1=Vbe2=Vbe3)。进而,由于Tr1~Tr3是热耦合的(例如,预先将管壳靠近,使它们成为相同的温度),即使Vbe2与Vbe3随温度而变化,Vbe1也同样发生变化,一直维持Vb=2Vbe1=Vbe2+Vbe3的关系。这样就解决了电路中热击穿的问题。
参考原文:《功率放大电路的关键问题》
二、功率放大器的设计方法
可能对于不了解随身听的朋友来说,并不知道电压幅值1Vp-p、电压放大倍数为10、输出功率为0.5W,所以这放在后面补充,这里只需要知道后续的设计就是围绕这几个参数进行设计。
为了方便看懂分析原理,先贴上整体电路图,图1-1是完成小型功率放大器电路图:

图1-1 整体电路图
整体分析思路为:
1、确定功率放大器的设计规格;2、确定电源电压;3、确定共发射极放大电路的工作点;4、确定共射极放大电路中元器件的具体参数;5、确定射极跟随器的偏置电路;6、推断射极跟随器的功率损耗;
01、确定功率放大器的射击规格
电压增益:10倍(20dB左右)
输出功率:0.5W以上(8Ω负载)
频率特性:20Hz~20kHz(-3dB带宽)
失真率(THD):1%以下
其中电压增益Z倍与KdB之间的关系为:

扬声器8Ω负载的功率大概为0.5W,通常扬声器的功率越大,其内部电阻就越小。
02、确定电源电压
电源电压是由输出功率Po来决定的,对于只有8Ω负载的扬声器,其功率一般为0.5W,所以此时电路应输出电压Vo为:

其中Z表示扬声器的阻抗,算出来的输出电压Vo该值是一个有效值,如果输入信号是正弦波,则输出波形的峰峰值电压应为:

对于输出电压为5.7V,将电源电压Vcc的值设定在电路产生的数伏损失以上,其中包括共发射极电路发射极电阻上产生的压降、射极跟随器发射极电阻产生的压降以及晶体管集电极-发射极间的饱和电压等,所以,需要采用15V的电源电压。
03、确定共发射极放大电路的工作点
共发射极放大电路可以提供电压信号,但是不具备电流驱动能力,所以需要在后面添加射极跟随器增强其驱动能力,所以在实际中需要将共发射极放大电路的集电极电流设定在很大的值上,以保证供给下级的射极跟随器基极电流还要大很多。当负载为8Ω、输出功率为0.5W时,输出电压Vo为2Vrms(设定波形为正弦波,但实际的波形不是正弦),其峰值为2.8V(5.7V的一半),此时负载的电流为:
如果,假设射极跟随器使用的晶体管的放大倍数为100倍,那么由共射极电路提供的基极电路为:

两个电路的电流需求关系如图1-2所示:

图1-3是两个电路具体电路图:
在实际应用中,往往需要共发射极电路的集电极电流比射极跟随器的基极电流3.5mA大的多,假设定为20mA。
前两步确定好电源电压和共发射极电路的工作状态后需要对共发射极电路中的元器件进行选型,在图1-1中对于Tr1,要选择集电极电流为20MA以上,且集电极-基极间电压Vcbo和集电极-发射极Vceo之间的电压要大于15V的器件。
同时,还需要考虑三极管Tr1的发射极电位,如果其电位太高,就不能得到大的集电极振幅(输出波形电压幅值小);如果电位太低,那么集电极电流随温度的变化又增大,综合考虑定发射极电位为2V。
因为Tr1的集电极电流为20mA,所以Tr1的发射极与GND之间的电阻取值:

04、确定共发射极放大电路中具体元器件的参数值
如图1-4所示,若将Tr1的集电极电位设定为8.5V,则能得到最大振幅(这里完全是根据波形假定)。为了使集电极电位为8.5V左右,所以电阻R3上的压降为6.5V(15V-8.5V)即可,所以电阻R3的值为:


图1-4 Tr1的集电极电位与输出信号的振幅
在共发射极电路中,为了提高其放大倍数,通常需要将Tr1的发射极与GND之间的电阻分为两个部分,为了使其放大倍数在20dB左右,这里设定R5=22Ω,R6=75Ω,将电阻R6用电容C3接地,可以提高电路的电压放大倍数,其值为:

换算成增益为:
24dB>20dB,这是因为实际的放大倍数要比式(1.9)求得的值小以及射极跟随器中发射极电阻上损失等原因,所以交流放大倍数要比设计规格稍大。
电容C3是为了对电阻R6进行旁路,以提高放大电路的交流放大倍数,其中电阻R5和R6与C3形成高通滤波器,为了使其满足设计规格的频率特性,电容C3取330uF。
基极电位为:
设定电阻R1和R2上流动的电流为0.5mA,所以电阻R1和电阻R2的取值分别为:
电路的输入阻抗为:
输入侧的耦合电容C1与共发射极电路的输入阻抗形成的高通滤波器的截止频率为20Hz以下,由此来决定C1的值,这里取C1为10uF,截止频率为3.5Hz。
其中图1-1中电阻VR1是调整输入音量的可变电阻,取作10kΩ。
参考原文:《功率放大器的设计方法》
三、功率放大器的设计方法2
同上期一样,为了方便看懂分析原理,先贴上整体电路图,图1-1是完成小型功率放大器电路图:

图1-1 整体电路图
01、设置射极跟随器的偏置电路
图1-1中射极跟随器的偏置电路设置在共发射极电路的晶体管Tr1的集电极与负载电阻R3之间,上期求出了共发射极电路的集电极流过的电流为20mA,所以选用的偏置电路中的晶体管要求最大集电极电流在20mA以上,并且偏置电路是为推挽输出电路提供偏置的,所以也要求选用的晶体管Tr2的集电极-基极间Vcbo与集电极-发射极Vceo间的最大电压为1.2V以上。
图1-2是偏置电路结构,该电路的基极侧流过的电流是由电阻R4决定的,这里取R4为300Ω(为了好分析),那么电阻R4之间流过电流为:

图1-2 射极跟随器偏置电路的各部分电压与电流
另一方面,晶体管Tr1的集电极电流总共为20mA,所以晶体管Tr2集电极电流为18mA,为了使Tr2的集电极-基极间电压为2Vbe,由第一期求得公式:

可知,只要使得R4和VR2的值相等即可,其中(VR2表示RA,R4表示RB),可以采用470欧姆的滑动变阻器自行调节。
电容C2是对偏置电路进行旁路,为了使推挽输出电路中晶体管Tr3和Tr4的基极“见到”的阻抗相等,同时电容C2对,电路的高频失真率也有所改善(也不懂),C2的取值越大,那么Tr3和Tr4的基极间的阻抗越低(电容越大,容抗越小),但是太大也没什么意义,所以这里取电容C2为2.2uF。
02、射击跟随器的功率损耗计算
整体电路的电源电压为15V,晶体管Tr1的集电极电位设定为8.5V,所以,如果忽略晶体管Tr2引起的偏置电压,那么射极跟随器也与共发射极电路部分是相同的,图见1-3所示:

图1-3 信号振幅
从图1-3可以得出,射极跟随器最后输出电压幅值为6.5V,当输出信号驱动8Ω的扬声器负载时,那么需要驱动的电流为:
这个输出电流作为集电极电流在晶体管Tr3和Tr4上流动,另一方面,当输出电压达到正负的峰值时,那么两个晶体管集电极-发射极之间的最大电压为15V。
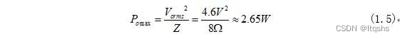
当输出波形是正弦波时,则该电路的最大输出电压有效值为:

最大输出功率为:

而Tr3和Tr4的功率最大值为最大输出功率的1/5,所以两个晶体管各自的功率为0.53W。【通常,在考虑输出波形为正弦波时,在进行B类工作的推挽射极跟随器中,每一个晶体管的集电极损耗功率的最大值为最大输出功率的1/5】
因此,Tr3与Tr4应该选择集电极电流在800mA以上,集电极-基极间电压与集电极-发射极间电压为15V以上,功率在0.53W以上,同时,由于两个晶体管最后的损耗为1.06W,所以必须要使用散热板。
03、总结设计方法
在设计功率放大器时,首先需要对功率器的规格进行定型,包括(增益、功率、频率、失真率),然后分析整体电路使用的电源电压,接着选型共射极放大电路中NPN晶体管,并对其中各元件进行参数选型,之后为了消除最后推挽输出电路的开关失真和防热击穿,需要设计偏置电路,最后从功率的方面分析推挽输出电路。
参考原文:《功率放大器的设计方法2》
边栏推荐
猜你喜欢

In action: 10 ways to implement delayed tasks, with code!

第三章 Scala运算符

基于 Next.js实现在线Excel

成功 解决 @keyup.enter=“search()“ 在el-input 组件中不生效的问题

有哪些好用的IT资产管理平台?

浅谈一下跨端技术方案

GPS卫星同步时钟,NTP网络同步时钟,北斗时钟服务器(京准)

A detailed explanation of what is software deployment

实战:10 种实现延迟任务的方法,附代码!

What is the difference between ITSM software and a work order system?
随机推荐
我在羊毛和二手群里报复性消费
吴恩达机器学习[13]-支持向量机
HarePoint Analytics for SharePoint Online
OGG判断mgr状态并自动启动脚本
RepVGG学习笔记
Flutter 运动鞋商铺小demo
基于 Next.js实现在线Excel
一文详解什么是软件部署
06-总线
【Es6中的promise】
小程序|炎炎夏日、清爽一夏、头像大换装
【Harmony OS】【FAQ】鸿蒙问题合集2
云存储硬核技术内幕——(13) 抓手,组合拳与闭环
MySQL select加锁分析
弄懂#if #ifdef #if defined
365天挑战LeetCode1000题——Day 049 非递增顺序的最小子序列 贪心
RTC 场景下的屏幕共享优化实践
第三章 Scala运算符
李沐的深度学习笔记来了!
洛谷题解P4326 求圆的面积