当前位置:网站首页>GaN图腾柱无桥 Boost PFC(单相)二 (公式推到理解篇)

GaN图腾柱无桥 Boost PFC(单相)二 (公式推到理解篇)

2022-08-09 00:09:00 代码—0422

上一篇文章描述了图腾柱PFC的工作原理,此篇文章主要讲述其控制算法,公式推导及过程。

控制框图

在这里插入图片描述

在这里插入图片描述

控制原理

电压环路控制

输入电压前馈环节

电压前馈作用:保持了输入功率的恒定。
如果PFC电路的效率非常高,开关频率远大于电网频率,则PFC电路在电网工频周期内存储或消耗的能量可以忽略不计。因此,PFC电路在相对于工频时间范围内,从电网上吸收的瞬时功率Pi和PFC电路输出的瞬时功率po相等,即:采用乘法器锁相。
在这里插入图片描述
在这里插入图片描述

在这里插入图片描述
在这里插入图片描述
在这里插入图片描述
在这里插入图片描述
在这里插入图片描述
在这里插入图片描述在这里插入图片描述
在这里插入图片描述

电压环PI控制

电压环PI控制器的传递函数为
在这里插入图片描述
在这里插入图片描述
在这里插入图片描述

电流环路控制

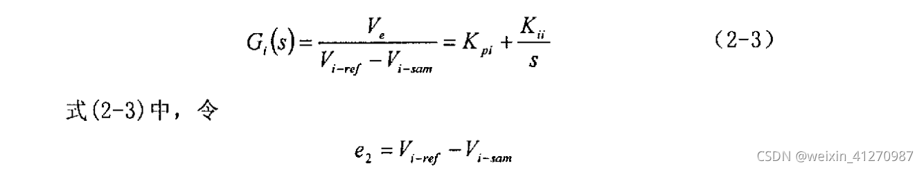
电流环PI控制

电压环PI控制器的传递函数为
在这里插入图片描述
在这里插入图片描述
在这里插入图片描述

脉宽调制器模型及传递函数

在这里插入图片描述
在这里插入图片描述
在这里插入图片描述

在这里插入图片描述

电流环与电压环的关系

在这里插入图片描述

总结

下一篇文章将描述其相关补充算法以及可以提升的地方(加入重复控制算法)

原网站

版权声明
本文为[代码—0422]所创,转载请带上原文链接,感谢
https://blog.csdn.net/weixin_41270987/article/details/120310893