当前位置:网站首页>数学基础(四)极大似然估计、误差的高斯分布与最小二乘估计的等价性
数学基础(四)极大似然估计、误差的高斯分布与最小二乘估计的等价性
2022-08-09 02:46:00 【Billie使劲学】
目录
一、极大似然估计
x表示概率,θ表示要估计的参数。
我们定义一个极大似然函数,使这个函数最大。
直接对
求导比较麻烦,所以我们将似然函数
转化成对数的形式,来求
的最大值

举个例子:
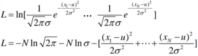
高斯分布和样本如下所示:

定义对数似然函数:

要求L的最大值,就需要求导。
对u求偏导:

这个u实际上就是样本均值。
对σ求偏导:

实际上就是方差。
那么,样本方差与极大似然估计的方差有什么区别呢?
答:极大似然估计出来的方差是有偏估计。
二、误差的高斯分布与最小二乘估计的等价性
x为n维的矩阵,y为实数。

我们定义一个多元线性方程
![]()
拟合误差为:
为真实值,
是拟合出来的值。
![]()
假设误差服从标准正态分布:

我们定义一个极大似然函数:

则最大化似然函数L,相当于最小化
,即最小化拟合误差。

如何对J进行最小化呢?
求导得到:![]()
移项得到:
我们对
进行变换,
和
为两个列向量,则
是一个实数,最终
变换为
。

即得到:
则w等于:
对比之前讲到的最小二乘得到的结果![]()
可以看到二者是相同的。
边栏推荐
猜你喜欢

jmeter的websocket插件安装和使用方法

通过安装VNC服务器x11vnc(或vnc4server)和配置x11vnc.service实现远程通过VNC-Viewer访问VNC服务器。

概率模型校准

Solve the Final Fantasy 13-2 Clock Puzzle with DFS

多御安全浏览安卓版升级尝鲜,新增下载管理功能

【AspNetCore】实现JWT(使用Microsoft.AspNetCore.Authentication.JwtBearer)

Jenkins配置钉钉通知

Jenkins的环境部署,(打包、发布、部署、自动化测试)

Building PO layered architecture of automated testing framework from 0

金融行业软件测试面试题(含答案)| 入门指南
随机推荐
Hudi从内核到实战介绍
【洛谷】P2613 【模板】有理数取余
最强分布式锁工具:Redisson
20220525动态规划:跳跃游戏
Jenkins的环境部署,(打包、发布、部署、自动化测试)
【云计算】XaaS最全介绍(按24字母合集):AaaS、BaaS、CaaS、DaaS、EaaS、FaaS、GaaS、HaaS、IDaaS…
全志平台双路LVDS配置
如何实现canal数据同步
MES对接Simba实现展讯平台 IMEI 写号与耦合测试
继承 Inheritance
【剑指offer65】不适用加减乘除做加法
online schema change and create index
JS 将对象拆开拼接成 URL
Open3D 随机采样
"Lonely Walking on the Moon": Two choices of Duguyue, let a "middleman" become a big hero
Inheritance
【izpack】使用izpack为你的程序提供安装程序封装
20220530设计问题:常数时间插入、删除和获取随机元素
20220523搜索和排序:搜索旋转排序数组
USB 触摸在竖屏时校准