当前位置:网站首页>《现代密码学》学习笔记——第四章 公钥密码
《现代密码学》学习笔记——第四章 公钥密码
2022-08-11 05:19:00 【Unicorn_snow】
一、对称密码体制面临的问题
(1)初始密钥分配:对称密码体制,发送方指定一个(种子)密钥后,必须得想方设法把密钥告知接收方,怎样确保“告知过程”密钥不泄露就成为了一个大问题。
(2)密钥管理:在有n个用户的网络中,若需要两两用户安全通信,则每对用户需要共享独立的秘密密钥,网络中需要管理的密钥总数是 n *(n-1)/2。
(3)不可抵赖性:当主体A收到主体B的电子文挡(电子数据)时,无法向第三方证明此电子文档确实来源于B。隐含了消息认证,但是只能认定合法用户,缺认定不到唯一的人。
二、公钥加密模型
密钥生成过程:接收消息的端系统(如图中的接收者Alice)产生一对密钥(PKA,SKA), PKA是公开钥(用于加密), SKA是秘密密钥(用于解密)。
加密过程:Bob想向Alice发送消息m,则获取Alice的公开密钥PKA,加密得密文c = EPKA[m], 其中E是加密算法。
解密过程: Alice收到密文c后,用自己的秘密钥SKA解密,表示为m = DSKA[c],其中D是解密算法。

三、单向陷门函数
定义:一个定义在(X,Y)空间上的单向陷门函数(OTF )包含3个“有效”算法 (G, F, F-1)
(1)G(⋅): 随机算法,输出对(pk,sk)
(2)F(pk,⋅):确定算法,定义X→Y的运算
(3)F-1(sk,⋅): F(pk,⋅)的逆函数,定义Y→X的运算,sk一般被称为陷门信息。
对于任意生成的一对密钥G →(pk,sk),单向陷门函数满足:
定义: (G, F, F-1) 是一个安全的的OTF当对于所有有效的算法A:
四、RSA单向陷门函数及其应用
1.密钥的产生
① 选两个安全的大素数p和q。
② 计算n=p×q,φ(n)=(p-1)(q-1),其中φ(n)是n的欧拉函数值。
③ 选一整数e,满足1<e<φ(n),且gcd(φ(n),e)=1。
④ 计算d,满足d·e≡1 mod φ(n),即d是e在模φ(n)下的乘法逆元。因e与φ(n)互素,故它的乘法逆元存在且唯一。
⑤ {e,n}为公开密钥,{d,n}为秘密密钥。
2.加密
加密时首先将明文分组,使得每个分组m值小于n,即分组长度小于log2n。然后对每个明文分组m,作加密运算:c≡me mod n
3.解密
对每个密文分组的解密运算:m≡cd mod n
4.正确性证明

5.安全性
整数分解问题:已知n是两个大素数的乘积,求n的素分解;如果RSA加密算法的模数n被成功地分解为 p×q,则获得φ(n)=(p-1)(q-1),从而攻击者能够从公钥e解出私钥d,即d≡e-1 mod φ(n),完全破译。
6.安全参数
①|p-q|要大
②p-1和q-1都应有大素因子
③不选取太小的加密指数
④不同用户需使用不同的模数
7.为保证RSA算法足够安全,参数须满足下面几个基本要求:
①需要选择足够大的素数p, q;
②|p-q|较大;
③p-1和q-1有大的素因子;
④e对所有用户可以是相同的,建议使用e=216-1 = 65535;
⑤解密指数比较大,d>n1/2;
⑥不同用户不共用模数n
8.RSA的计算问题
(1)RSA的加密与解密的模幂运算
用模运算的性质,减小中间运算结果。
(a×b) mod n=[(a mod n)×(b mod n)] mod n
(2)幂运算的快速算法
求at可如下进行,其中a,t是正整数:
将t表示为二进制形式bk bk-1…b0,即t=bk2k+bk-12k-1+…+b12+b0
例:求a19
解:19=1×24+0×23+0×22+1×21+1×20
故:a19=((((a1)2a0)2a0)2a1)2a1
(3)RSA的解密运算
加密很快,指数小;解密比较慢,指数较大,利用中国剩余定理CRT,加快计算速度。
五、ELGamal单向陷门函数
1.密钥生成
① 选择一大素数p,选取Zp*的生成元g ;
② 任选小于p的随机数x,计算y≡gx mod p;
③(y, g, p)为公开密钥, (x, g, p)为秘密密钥。
2.加密
设待加密明文为M:
① 随机选一整数k,0<k<=p-1;
② 计算密文对:C = {C1,C2}, 发送给接收者
C1≡gk mod p, C2≡ykM mod p
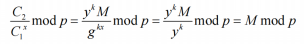
3.解密过程
设收到的密文对为(C1,C2):
4.正确性

5.有限域上的离散对数问题
已知(Zp,+,*)是一个有限域,g为Zp*的生成元,y∈ Zp,求x使得y=gx mod p。
边栏推荐
猜你喜欢
随机推荐
js严格模式
let 块级作用域
QT circle函数(图片标注)
C - file operations fseek () function, ftell, rewind, rounding
c pointer learning (1)
海内外媒体宣发,关键词优化
08-Express路由详解
05-JS中的BOM和DOM
代币标准--ERC1155协议源码解析
C语言——文件操作(2)文件的读写操作
旅游住宿酒店14页
PHP提高并发能力有哪些方案
Markdown 常用到的一些编写技巧
表单input控件数据双向绑定
npm install 时报 npm ERR Cannot read properties of null (reading ‘pickAlgorithm‘)
QtDataVisualization 数据3D可视化
leetcode21.合并两个有序链表
QT Mat转HObject和HObject转Mat 图像视觉处理
国内自媒体宣发.多媒体发稿的优势
C语言版——通讯录进阶(文件版本)









