当前位置:网站首页>b站up主:空狐公子 --矩阵求导(分母布局)课程笔记
b站up主:空狐公子 --矩阵求导(分母布局)课程笔记
2022-08-09 10:52:00 【1nsights】
一、写在前面
最近在看图像正则化相关文章的时候,常常被矩阵求导弄得一头雾水。在B站发现一个宝藏up主空狐公子,非常的硬核。
矩阵求导讲解的非常好,逻辑清楚,层层递进,很有帮助。本文做一个简单的记录,方便以后查阅回顾。求大家三连支持up。传送门:空狐公子
计量经济学入门专题2——矩阵求导(分母布局)【上】
计量经济学入门专题2——矩阵求导(分母布局)【中】
计量经济学入门专题2——矩阵求导(分母布局)【下】,欢迎大家去原视频学习,去支持一下up。
二、矩阵求导(分母布局)【上】
1、矩阵求导的本质
复习:标量函数与向量函数
2、以分母布局为例的矩阵求导的基本原则
标记说明
f在分子的位置,x在分母的位置,是为了定义位置的概念。
原则1
f是标量函数
x是p×1的列向量
分子的位置是f,分母的位置是列向量
同理,行向量的情况:
总结:分子部分是标量函数,分母部分是向量形式,结果与分母部分形式保持一致。
原则2
分子位置 : f:列向量
分母位置 : x:标量
定义,f对x求导的结果写成行向量的形式,分子部分是列向量,分母部分是标量形式,最后的结果写成分子形式的转置
分子m×1的列向量,求导的结果写成1×m的行向量的形式。也可以理解为f先转置,再对x求导
扩展
分子:f m×1的列向量
分母:x m×1的列向量
f对x求导:首先用原则1,分母是列向量,结果写成列向量的形式
再用原则2去展开:
这样,列向量对列向量求导就可以写成矩阵的形式。
三、矩阵求导(分母布局)【中】
3、示例
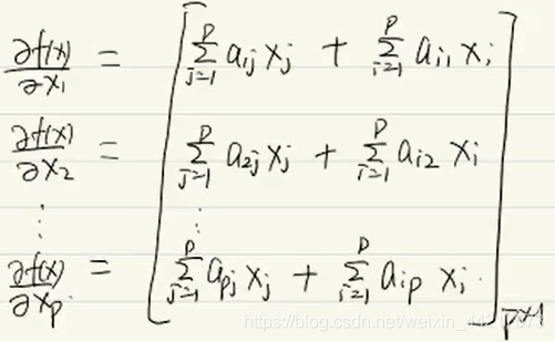
例1
解
可以看出分子f(x)是标量形式,分母部分是p×1的列向量,运用原则1,结果形成列向量的形式(p行)
分子矩阵中每个元素(1×1)分别对分母矩阵中每个元素(p×1)分别进行求导
公式1
标量的转置是其本身,可以得到:
由原则1,结果与分母部分形式一样,必须为列向量的形式,不能是行向量。
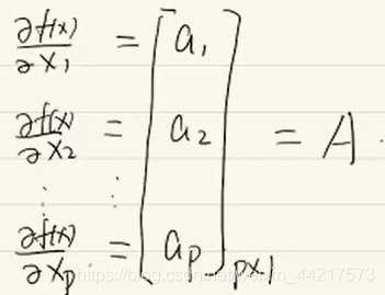
例2
解
f(x)是标量函数,对x求导,x是列向量的形式,结果也为列向量的形式
f(x)对x中每个元素求导
复习(求导乘法运算)
对x1求导,i=1或者j=1时f(x)包含x1项,
可以拆解成两个列向量相加的形式:
上式中列向量中每个元素都是求和的形式,可以改写成行向量与列向量的乘积的形式
公式2
这里做一个维度的验证,f(x)是一个标量,x是一个列向量,由原则1,最后的结果也要是一个列向量。
满足要求
4、最小二乘估计
复习
对S^(b)化简:
注意:上式③式前面为+号
S^(b)对b求导,变成①、②、③三个部分对b求导
第一部分
Y转置×Y与b没有关系,结果为0(p×1的列向量的形式)
第二部分
第三部分
求导结果
四、矩阵求导(分母布局)【下】
5、有用的公式
①A是行向量,x列向量
②U是关于x的列向量(p×1),V也是关于x列向量(p×1),x也是列向量(m×1)
下面的乘为矩阵乘
维度上验证:
③续上
6、一些说明
①分子布局、混合布局
分子布局即求导结果与分子形式保持一致,通常情况下分母布局与分子布局差一个转置(不是绝对)
② 布局没有优劣之分,适合的最好,保持计算的连续性
③ 导数矩阵的维度来判断别人的布局
up推荐参考文献
zdaiot博客:https://www.zdaiot.com/Math/%E7%9F%A9%E9%98%B5%E6%B1%82%E5%AF%BC%E6%B3%95%E5%88%99%E4%B8%8E%E6%80%A7%E8%B4%A8/
维基百科(矩阵求导):https://en.wikipedia.org/wiki/Matrix_calculus
Po-chen Wu ppt:http://media.ee.ntu.edu.tw/personal/pcwu/tutorials/matrix_calculus.pdf
吴昌悫, 魏洪增. 矩阵理论与方法【J】. M]. 北京: 电子工业出版社, 2006.
感谢up,完结撒花*,°:.*( ̄▽ ̄)/$:.°* 。
边栏推荐
- cesium加载地图
- shap库源码和代码实现
- 相关系数计算,热力图绘制,代码实现
- 解决1.tensorflow运行使用CPU不使用GPU 2.tensorflow环境下的GPU版本号 3.tensorflow和cuda以及cudnn版本对应问题 4.查看cuda和cudnn版本
- TensorFlow: NameError: name 'input_data' is not defined
- vite的原理,手写vite
- 【原创】VMware Workstation实现Openwrt软路由功能,非ESXI,内容非常详细!
- margin出bug---margin失效
- WebSocket
- The complete grammar of CSDN's markdown editor
猜你喜欢
性能测试(01)-jmeter元件-线程组、调试取样器
Shell script combat (2nd edition) / People's Posts and Telecommunications Press Script 1 Find programs in the PATH
OpenSSF's open source software risk assessment tool: Scorecards
sublime记录
cesium加载地图
jmeter BeanShell 后置处理器
Error: Cannot find module ‘./application‘
CSDN的markdown编辑器语法完整大全
Dialogue with the DPO of a multinational consumer brand: How to start with data security compliance?See you on 8.11 Live!
批量转换经纬度的网页实现方法
随机推荐
Missing URI template variable ‘employeeNumber‘ for method parameter of type String
Beauty Values
jmeter BeanShell 后置处理器
faster-rcnn learn
性能测试(05)-表达式和业务关联-json关联
使用pip成功安装某个库,但pycharm中找不到,此问题的解决方案
Oracle数据库:for update 和for update nowait的区别
linux mysql操作的相关命令
TensorFlow: NameError: name 'input_data' is not defined
Unix Environment Programming Chapter 14 14.4 I/O Multiplexing
最长回文子串
shell脚本实战(第2版)/人民邮电出版社 脚本2 验证输入:仅限字母和数字
unix环境编程 第十五章 15.8信号量
C语言统计不同单词数
unix环境编程 第十五章 15.7消息队列
非科班毕业生,五面阿里:四轮技术面+HR一面已拿offer
ThreadLocal及其内存泄露分析
备份mongodb数据库(认证)
pip常见命令和更改源文件
批量转换经纬度的网页实现方法