当前位置:网站首页>深度学习之 12 循环神经网络RNN2
深度学习之 12 循环神经网络RNN2
2022-08-10 21:05:00 【水w】
本文是接着上一篇深度学习之 12 循环神经网络RNN_水w的博客-CSDN博客
目录
堆叠循环神经网络 (Stacked Recurrent Neural Network, SRNN)
双向循环神经网络(Bidirectional Recurrent Neural Network)
回顾
需要寻优的参数有三个,分别是U、V、W。权重矩阵W和U的寻优过程需要追溯之前的历史数据(BPTT算法的重点)。
1 长程依赖问题
RNN 的长处之一是它可以利用先前的信息到当前的任务上,尤其当相关的信息和预测的词之间的间隔较小时效果明显。
然而在间隔不断增大时,RNN 会丧失学习到连接如此远的信息的能力。
为什么在实际应用中,RNN很难处理长距离的依赖?

根据下面的不等式,来获取的模的上界(模可以看做对 中每一项值的大小的度量):
其中,𝛽𝑓、𝛽𝑊分别是对角矩阵和矩阵W模的上界。
梯度消失或者梯度爆炸会导致梯度为0或NaN,没法继续训练更新参数,也就是RNN的长程依赖问题。
梯度消失举例

假设某轮训练中,各时刻的梯度以及最终的梯度之和如下图:
从t-3时刻开始,梯度已经几乎减少到0了。即从此时刻开始再往之前走,得到的梯度(几乎为零)就不会对最终的梯度值有任何贡献。这就是原始RNN无法处理长距离依赖的原因。
三种方法应对梯度消失问题
梯度消失更难检测,也更难处理一些。总的来说,有三种方法应对梯度消失问题:1. 合理的初始化权重值。初始化权重,使每个神经元尽可能不要取极大或极小值,以躲开梯度消失的区域。2. 使用relu代替sigmoid和tanh作为激活函数。3. 使用其他结构的RNNs,比如长短时记忆网络(LTSM)和门控循环神经网络Gated Recurrent Unit(GRU)。
sigmoid函数与tanh函数比较:
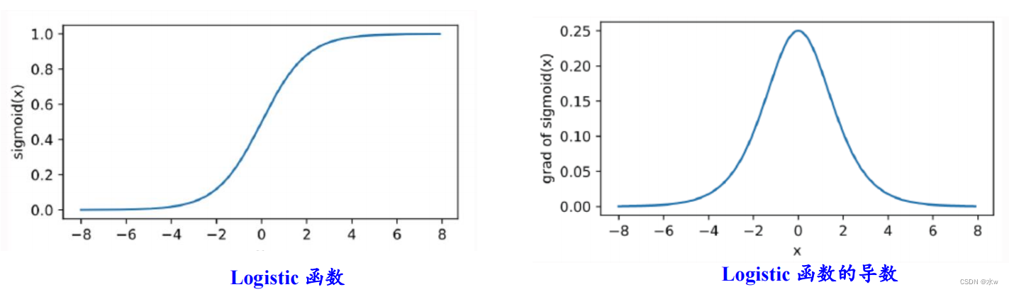
• sigmoid函数的导数值范围为(0,0.25],反向传播时会导致梯度消失• tanh函数的导数值范围为 (0,1],相对范围较大,但仍会导致梯度消失• sigmoid函数不是原点中心对称,输出均大于0• tanh函数是原点中心对称,可以使网络收敛的更好
sigmoid函数的函数图和导数图:
虽然tanh函数相较于sigmoid函数而言比较相似,但是tanh函数的导函数(0~1)比sigmoid函数的导函数(0~1/4)大,tanh函数的函数图和导数图:
更加推荐:ReLU函数的图像和导数图
ReLU函数的左侧导数为0,右侧导数恒为1,避免了小数的连乘,但反向传播中仍有权值的累乘。ReLU函数改善了“梯度消失”现象。
非常借鉴了人体神经元的单边抑制单边激活,ReLU函数的图像和导数图:
缺陷:左侧基本为0,容易使得神经元就直接学死了,所以基本上会使用ReLU函数的变体。
2 长短期记忆网络(LSTM)
Long Short Term Memory networks(以下简称LSTMs),一种特殊的RNN网络,该网络设计出来是为了解决长程依赖问题。增加状态c,称为单元状态(cell state),让它来保存长期的状态
LSTMs首先继承了RNN模型的特性,所以它是具有短期记忆功能的。 其次,它的特殊的记忆单元的设置,也让它具备了长期记忆的功能。
LSTM使用三个控制开关
LSTM通过所谓的开关设置,去实现我们的这样一个状态单元C以及隐藏层的输出,那么我们下面来看一下这三个非常重要的状态单元是什么。
LSTM的关键,就是怎样控制长期状态c。LSTM使用三个控制开关 :① 第一个开关,负责控制如何继续保存长期状态c② 第二个开关,负责控制把即时状态输入到长期状态c;③ 第三个开关,负责控制是否把长期状态c作为当前的LSTM的输出;
LSTM 的重复模块
每一个模块表示的是不同的时刻。

而LSTM 的重复模块如下,除了h在随时间流动,单元状态c也在随时间流动,单元状态c就代表着长期记忆。
- 黄框:表示我们学习得到的神经网络层;
- 粉色圆:表示的是一些运算操作;
- 单箭头:箭头流向表示向量传输的方向;
- 两个箭头合并:表示向量的一个拼接过程;
- 箭头分叉:表示向量的复制过程;
LSTM 的核心思想
与RNN很大一个区别:LSTM 的关键是状态单元C,如水平线在图上方贯穿运行。单元状态的传递类似于传送带,其直接在整个链上运行,中间只有一些少量的线性交互,容易保存相关信息。

“门”(gate)
LSTM 通过精心设计的称作为“门”(gate)的结构来去除或者增加单元状态中的信息。门是一种让信息选择式通过的方法。

此门包含一个 sigmoid 神经网络层和一个 pointwise 乘法操作。
补充:LSTM用两个门来控制单元状态c的内容 :* 遗忘门(forget gate),它决定了上一时刻的单元状态ct-1有多少保留到当前时刻ct(有多少会被记住);* 输入门(input gate),它决定了当前时刻网络的输入xt有多少保存到单元状态ct 。• LSTM用输出门来控制单元状态ct有多少输出到 LSTM的当前输出值ht
逐步理解 LSTM之遗忘门
这个门怎么做到“遗忘“的呢?怎么理解?既然是遗忘旧的内容,为什么这个门还要接收新的𝒙𝒕?
用人来举例,我们脑海中记住了很多知识,但是知识不用的时候,我们是想不起来的。
假设现在出一道题去考你,你就会对其相关的知识进行回忆,那么这个回忆的过程就会有意识地去遗忘一些内容,记住一些内容,那在这个里面,为什么有些被记住了,有些被遗忘了?
其实就是这个新刺激Xt做了一个选择,或者说做了一个鞭策,去决定哪些是需要被遗忘的,哪些是需要被记住的。当然这个记住和遗忘的比例是多少,那么我们用通过S得到一个0~1的值去进行一个权衡选择。
逐步理解 LSTM之输入门
sigmoid 函数称 为输入门,决定将要更新什么值 ;tanh 层创建一个新的候选值向量, 会被加入到状态中;
逐步理解 LSTM之更新单元状态

由于遗忘门的控制,它可以保存很久很久之前的信息,由于输入门的控制,它又可以避免当前无关紧要的内容进入记忆。
逐步理解 LSTM之输出门
输出门控制了长期记忆对当前输出的影响,其由输出门和单元状态共同确定。
(1) LSTM训练算法框架
- 遗忘门:公式1
- 输入门:公式2和公式3,公式4(当前状态单元Ct的一个更新过程)
- 输出门:公式5和公式6
LSTM的训练算法仍然是反向传播算法。主要有下面三个步骤:
① 前向计算每个神经元的输出值,对于LSTM来说,即五个 向量的值。计算方法已经在上一页中描述过了。② 反向计算每个神经元的误差项值。与循环神经网络一样,LSTM误差项的反向传播也是包括两个方向:一个是沿时间的反向传播,即从当前t时刻开始,计算每个时刻的误差项;一个是将误差项向上一层传播。③ 根据相应的误差项,计算每个权重的梯度。
(2)关于公式和符号的说明

sigmoid和tanh函数的导数都是原函数的函数。这样,一旦计算原函数的值,就可以用它来计算出导数的值。
LSTM需要学习的参数共有8组,分别是:
- 遗忘门的权重矩阵和偏置项 、
- 输入门的权重矩阵和偏置项 、
- 输出门的权重矩阵 和偏置项 、
- 计算单元状态的权重矩阵和偏置项 。



当一个行向量右乘一个对角矩阵时,相当于这个行向量按元素乘那个矩阵对角线组成的向量:

上面这两点,在后续推导中会多次用到。
(3)误差项沿时间的反向传递
上述公式就是将误差沿时间反向传播一个时刻的公式。有了它,可以写出将误差项向前传递到任意𝑘时刻的公式:

(4)将误差项传递到上一层
(5)权重梯度的计算




3 门控循环神经网络(GRU)
GRU(Gate Recurrent Unit)是循环神经网络RNN的一种。和LSTM一样,也是为了解决长期记忆和反向传播中的梯度等问题而提出来的。

优点
GRU是LSTM的一种变体,它较LSTM网络的结构更加简单,而且效果也很好。LSTM引入了三个门函数:输入门、遗忘门和输出门来控制输入值、记忆值和输出值。而在GRU模型中只有两个门,分别是更新门和重置门。 另外,GRU将单元状态与输出合并为一个状态h。
LSTM与GRU
• GRU的参数更少,因而训练稍快或需要更少的数据来泛化。• 如果你有足够的数据,LSTM的强大表达能力可能会产生更好的结果。Greff, et al. (2016)对流行的LSTM变种做了对比实验,发现它们的表现几乎一致。 Jozefowicz, et al. (2015)测试了超过一万中RNN结构,发现某些任务情形下,有些变种比LSTM工作得更好。
4 深层循环神经网络
循环神经网络是可深可浅的网络* 深网络:把循环网络按时间展开,长时间间隔的状态之间的路径很长 ;* 浅网络:同一时刻网络输入到输出之间的路径 xt→yt 非常浅 ;增加循环神经网络的深度的意义* 增强循环神经网络的能力 ;* 增加同一时刻网络输入到输出之间的路径 xt→yt , 如增加隐状态到输出 ht→yt ,以及输入到隐状态 xt→ht之间的路径的深度;
堆叠循环神经网络 (Stacked Recurrent Neural Network, SRNN)
双向循环神经网络(Bidirectional Recurrent Neural Network)
双向循环神经网络(Bidirectional Recurrent Neural Network)由两层循环神经网络组成,它们的输入相同,只是信息传递的方向不同
边栏推荐
- PROCEDURE :存储过程结构——《mysql 从入门到内卷再到入土》
- shell小技巧(一百三十五)打包指定目录下所用文件,每个文件单独打包
- Date picker component (restrict year to set only displayed months)
- LeetCode-36-二叉搜索树与双向链表
- Rider调试ASP.NET Core时报thread not gc-safe的解决方法
- ENVI最小距离、最大似然、支持向量机遥感影像分类
- 如何提高代码的可读性 学习笔记
- mysql服务器参数设置
- kuberentes Auditing 入门
- ArcMap时间滑块功能动态显示图层数据并生成视频或动图
猜你喜欢
随机推荐
PPT的两个实用技巧
论配置化系统的配置
玩转doxygen 之RT-THREAD
【nvm】【node多版本管理工具】使用说明和踩坑(exit status 1)
美创科技勒索病毒“零信任”防护和数据安全治理体系的探索实践
D. Game With Array
ENVI自动生成地面控制点实现栅格影像的自动地理配准
ACM模板笔记:八数码问题——使用BFS+康托展开打表解决
卡片盒笔记法的操作步骤
Object.assign用法 以及 与$.extend的区别
Live Classroom System 09--Tencent Cloud VOD Management Module (1)
TortoiseSVN小乌龟的使用
国内Gravatar头像的完美替代方案Cravatar
DELETE:删除操作语法&使用例——《mysql 从入门到内卷再到入土》
ENVI最小距离、最大似然、支持向量机遥感影像分类
Kubernetes Notes / Getting Started / Production Environment / Installing Kubernetes with Deployment Tools / Starting a Cluster with kubeadm / Creating a Cluster with kubeadm
机器学习笔记:t-SNE
直播课堂系统09--腾讯云点播管理模块(一)
【go】依赖注入
根心与根轴