当前位置:网站首页>椭圆曲线离散对数问题以及求解
椭圆曲线离散对数问题以及求解
2022-08-10 05:39:00 【白速龙王的回眸】
椭圆曲线定义
设Fp 表示具有p个元素的有限域,p > 3为一个素数。椭圆曲线上的有理点集合E(Fp)定义为


判别式 = 4a3 + 27b2 != 0(平滑无奇点)
点的加法
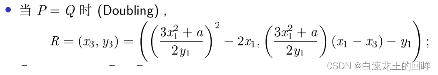
设E(Fp)上两点P = (x1, y1), Q = (x2, y2)
P + Q = R是指过P和Q的直线与曲线的另一交点关于x轴的对称点(P=Q时是切线)

PQ:y = cx + d
设R的关于x轴对称点:(x3, c * x3 + d), 那么R(x3, - c * x3 - d)
c = (y2 - y1) / (x2 - x1)
d = y1 - c * x1
将y = cx + d代入y2= x3+ Ax + B, 整理:
x3 - c2 x2 + (A - 2cd)x + (B - d2) = 0 = (x - x1)(x - x2)(x - x3)
=> x3 = c2 - x1 - x2

P = Q时,2y * y’ = 3 x2 + a => k = y’ = (3 x2 + a) / 2y

点的数乘和阶
[k] P = P + P + … + P(k个)
若r是最小的正整数s.t.[r]P = O(两个对称点相加的结果)

{O, P, 2P, … , (r - 1)P}是E(Fp)的一个r阶子群(加法数乘封闭)
ECDLP
给定素数p和椭圆曲线E,对Q=kP,在已知P,Q 的情况下求出小于p的正整数k。可以证明由k和P计算Q比较容易,而由Q和P计算k则比较困难, 一般情况下只能暴力遍历所有kP
Pollard Rho攻击方法
一种随机性的概率型算法,基于PR算法我们可以加速大整数的因子分解
**原理:**生日悖论,k个学生时这些学生里至少有两个人的生日在同一天的概率会是多大,大约为23时就可以使概率提高到50%,当取到58人时概率就已经达到了99%
首先设定一个ECDLP问题,对于椭圆曲线E(Fp),我们取基点P,且P的阶为N,然后对于曲线上另一点Q,我们需要求k,使得P*k=Q
算法步骤
1.我们令G=E(Fp),然后我们将G分成三个大小相近的部分S1,S2,S3
2.设定一个用于生成随机的步数的迭代函数f:

其中不妨令R0 = P(Q也可以)
3.由上式可知Ri是P和Q的线性组合,即Ri = ai P + bi Q
也可以把ai和bi的递推关系写出来

4.我们不断生成配对(Ri, R2i)直到找到某个m使得Rm = R2m

限制1:gcd(bm - b2m, N) = 1,否则逆元不存在
假设gcd(a, p) = d 且 ax = 1(mod p)
gcd(a, p) = d =>
ax + py = d =>
1 = d(mod p) =>
d = 1(d <= p)
限制2:对与不同的椭圆曲线能命中的概率与效率也是不同的,这取决于我们设定的迭代函数以及我们初始化的点位,有时候没取好可能无法相等
例子:

Z3 = (50, 35) = 1 P + 2 Q
Z6 = (50, 35) = 8 P + 8 Q
211 P = O(求阶是容易的)
1 P + 2 Q = 8 P + 8 Q =>
-7 P = 6 Q =>
204 P = 6 Q =>
Q = 34 P
Pohlig-Hellman攻击方法
**原理:**中国剩余定理

假设整数m1,m2, … ,mn两两互质,则对任意的整数:a1,a2, … ,an,方程组(S)有解,设M = m1 * m2 * … * mn

这里Mi = M / mi, ti * Mi = 1(mod mi)
证明也比较明显:
x = ∑ i = 1 n \sum_{i=1}^n ∑i=1n ai ti Mi + KM
x = aj tj Mj (mod mj) 因为 mj | M, mj | Mk (k != j)
x = aj (mod mj)
算法步骤:
1.我们不妨假设需要求解Q = l * P中的l,同时我们知道P的阶为n(np = O)
同时,n = p1^e1 * p2^e2 * … * pr^er
我们希望得到r个 l = li(mod pi^ei)的式子
这样的话就可以通过中国剩余定理求解出l
这里的难点就是如何求出每个li
2.li的表示:由于是在mod pi^ei 的意义下
li可以表示为z0 + z1 * p + z2 * p2 +…+ze-1 pe-1 , 其中zi 在[0, p - 1]取值
3.zi的计算:引入P0和Q0

则pi * P0 = nP = O => P0 的阶是pi(大大降阶)
由于l * P = Q => (li + k * piei) * P = Q => (li + k * piei) * P0 = Q0
=> li * P0 = Q0
=>(z0 + z1 * pi + z2 * pi2 +…+ze-1 piei-1 ) P0 = Q0
=>z0 * P0 = Q0 (把原本的阶从n变成现在的pi, 结合Pollard Rho求解)
对于剩余的zj 我们同样可以通过求解Qj = zj * P0的方式求解
其中:

不妨验证一下Q1 = z1 * P0 的正确性
Q1 = (n / pi2) * (Q - z0 * P)
= (n / pi2) * ((li + k * piei) * P - z0 * P)
= (n / pi2) * P * (li - z0 + k * piei)
= P0 * (1 / pi ) * (z1 * pi + z2 * pi2 +…+ze-1 piei-1 + k * piei)
= P0 * Z1
因此,我们易知Zi+1 = f(Z0, Z1, … , Zi)
参考https://wstein.org/edu/2010/414/projects/novotney.pdf
4.求出了每个zi就可以还原li,从而有r组同余方程,通过中国剩余定理求出l
MOV攻击
- MOV攻击利用一个双线性配对。双线性配对(大致上)是一个函数e,它将椭圆曲线E(Fq)中的两个点映射到有限域Fq^k中的一个元素,其中k是与该曲线相关的嵌入度。
- 嵌入度是满足k≥2且椭圆曲线的阶n∣qk−1之最小的k。
- 双线性意味着对于点对(P,Q),我们有e(rP,sQ)=e(P,Q)rs。 因此,如果要计算P的离散对数r,对于椭圆曲线上另外一个点Q(这个Q点的选取任意),我们可以计算u=e(P,Q)和v=e(rP,Q)。
- 由于e是双线性的,我们有v=e(P,Q)r=ur。
- 所以我们可以解Fq^k中的离散对数(给定ur和u,解出r),以解决椭圆曲线中的离散对数!
- 通常情况下,嵌入度k非常大(与q相同大小),因此将离散对数转到Fq^k中没用。
- 但是对于某些曲线来说,嵌入度足够小(特别是超奇异曲线,其中k≤6),这使得MOV攻击成为可能。
- 例如,一条256位q的曲线通常提供128位的安全性(即可以用2128步进行攻击);但如果它的嵌入度为2,那么我们可以将离散对数映射到有限域Fq^2中求解,这只提供60位的安全性。
小结
Pollard Rho构造碰撞,形成比例关系
Pohlig-Hellman分解质因数,降阶,约化成简单ECDLP
MOV通过双线性配对,对嵌入度较小的曲线,约化成更简单的DLP(存在亚指数解法)
更多细节可以参考:
边栏推荐
猜你喜欢

XV6系统调用实现

Myunity框架笔记2

Talking about 3 common shadow rendering techniques in games (1): plane shadow

unity在UI界面上展示旋转模型

共享静态IP与独享静态ip有何区别

MySQL 免安装版/解压版的安装与配置(Win & Unix & Linux)

Talking about 3 Common Shadow Rendering Techniques in Games (3): Shadow Mapping

QEMU guest与host通过网络通信——bridge/hostfwd/guestfwd

Qt滚动条(QScrollBar)圆角样式问题跟踪

XV6 swtch.S详解
随机推荐
vsnprint和snprintf的区别
氨氮吸附材料原理
Hypervisor, KVM, QEMU总结
OpenGL学习笔记(LearnOpenGL)-第四部分 着色器
分享一个专业TA的《Shader参考大全》
Unity扩展编辑器EditorWindow 小玩意(二)
新手使用 go channel 需要注意的问题
elf文件与链接脚本
共享静态IP与独享静态ip有何区别
OpenGL学习笔记(LearnOpenGL)第一部分-环境配置与基础知识
Parallax Mapping: More Realistic Texture Detail Representation (Part 1): Why Use Parallax Mapping
全网可达,实现备份
酸回收工艺讲解
内核性能分析总结
Kernel performance analysis summary
tqdm高级使用方法(类keras进度条)
Two-dimensional cartoon rendering of strokes
链表、栈、队列
webSocket教程
unity瓦片地图调整图片大小